相關概念
舵水動力
又稱“舵力”、“舵壓力”。舵水動力是指操舵時舵上受道的水的作用力合力。
舵水動力的分力
常將舵水動力分解為垂直於舵對稱面的舵法向力N和平行於舵對稱面的舵切向力T,或分解為垂直於來流方向的舵升力L和平行於來流方向的舵阻力D。
舵水動力各分力的計算
舵法向力
舵法向力
舵法向力
舵法向力
舵法向力
舵法向力
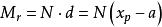
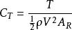
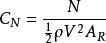
舵法向力計算時,常用它們的無量綱係數,如舵法向力係數 ,舵切向力係數 。式中 為水的質量密度,V為舵前緣來流速度,A為舵面積。P為舵對稱面的交點E稱舵壓力中心,即舵力在舵葉上的作用點。其至前緣的距離稱舵壓力中心距X,可按舵剖面型式和舵角翼形試驗確定。N與壓力中心E到舵軸距離d的積M稱舵桿扭矩(又稱舵水動力矩),即 ,式中a為舵軸到舵前緣的距離,b為舵寬。其值可由試驗確定,也可用經驗或半經驗公式估算。P與其到船重心G的水平距離GH的乘積構成使船問轉的力矩M, ,式中 為舵抽與船重心間的距離, 為舵角。舵水動力大,轉船力矩大,易於操縱船舶,但所需舵機功率也大。舵水動力與舵的外形、面積、剖面型式、舵前緣來流速度以及轉舵角度有關,也與船的吃水、螺旋槳轉速、問轉時船的漂角等有關。它可由實船或自由自航模試驗測定,也可由風滿、水筒、循環水槽、拖曳船模試驗水池等試驗測定。
