儀器簡介
臭氧探測儀(ozone-sonde),也稱臭氧探空儀,是指套用化學方法直接測量臭氧含量的儀器。
工作原理
目前用於對大氣中臭氧垂直結構進行直接探測的臭氧探空系統種類很多,但就其工作原理而言,基本上有兩大類:一類是基於臭氧對紫外輻射的吸收,即根據臭氧對某一選定紫外波長的吸收的強弱來確定臭氧量的多寡,根據這一原理,研製成了各類臭氧分析儀、光學臭氧探測儀等;另一類則基於臭氧的氧化性,即根據臭氧與一些物質的氧化反應來對臭氧含量進行定量分析,各類電化學式臭氧探測儀都是基於這一原理。
目前,在氣象業務中獲得套用的臭氧探測儀多數屬於電化學式臭氧探測儀。大氣臭氧探測儀一般用氫氣球攜帶升空,用無線電將探測信號送到地面,人們通過地面接收系統可以實時地獲得從地面到約30 km高度範圍內的臭氧和其它氣象參數的垂直分布資料。
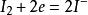
電化學式臭氧探測儀的工作基礎是臭氧與碘化鉀溶液的氧化還原反應。由於臭氧分子與中性碘化鉀作用可產生自由碘,臭氧愈多則產生的碘愈多。電化學臭氧感應法以鉑為陰極、銀絲為陽極,用兩極間的電流大小表達自由碘的產生率。其反應式為 :
臭氧探測儀鉑(陰極)
臭氧探測儀銀(陽極)
臭氧探測儀在這一氧化還原反應過程中所形成的流動電流與單位時間內同碘化鉀溶液發生反應的臭氧量成正比。這樣通過對裝有碘化鉀溶液的反應池及陰、陽極的精心設計和讓一定數量的含有臭氧的空氣連續不斷地進入反應池,便可根據所產生電流的大小來定量確定空氣中所含的臭氧量。
中國研製和套用
中國自行研製的大氣臭氧探空系統中的臭氧測量單元屬於電化學式。中國自20世紀80年代末開始研製大氣臭氧探測儀系統,並結合科研任務,曾先後在南極中山站、北京、河北香河、興隆等地區施放大氣臭氧探測儀近200餘套。
與此同時,為配合科學考察等任務的進行,我國科技工作者近些年來先後在北極和青藏高原等地區也使用國外臭氧探測儀進行過大氣臭氧探測儀的施放工作,中國氣象局在我國西北地區也進行了為期1年的臭氧探測儀施放工作。所有這些工作都為中國大氣臭氧探測儀的發展和業務施放積累了經驗。

