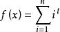
公式
一般的,自然數冪和有一個求和公式。
自然數冪和規律即
一般m不同,f(n)亦不同。但其中有其蘊含的規律。
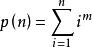
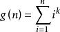
自然數冪和規律若
自然數冪和規律
自然數冪和規律且k,t 為正整數
自然數冪和規律則有g(n)=(k-t)+σ(x)σ(x)是一個低次多項式
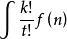
套用
自然數冪和規律當k=g+1時,公式可變為+σ(x),σ(x)
我們可以用此公式方便地遞推自然數冪和的和公式

自然數冪和規律可以得出不同指數求和公式之間的規律。在指數相近時尤其方便。
一般的,自然數冪和有一個求和公式。
自然數冪和規律即
一般m不同,f(n)亦不同。但其中有其蘊含的規律。
自然數冪和規律若
自然數冪和規律
自然數冪和規律且k,t 為正整數
自然數冪和規律則有g(n)=(k-t)+σ(x)σ(x)是一個低次多項式
自然數冪和規律當k=g+1時,公式可變為+σ(x),σ(x)
我們可以用此公式方便地遞推自然數冪和的和公式
冪運算是一種關於冪的數學運算。同底數冪相乘,底數不變,指數相加。同底數冪相除,底數不變,指數相減。冪的乘方,底數不變,指數相乘。
冪的運算遊戲十分簡單:任意寫出一個自然數N,並且按照以下的規律進行變換:如果是個...曲線,呈單調遞減 經過遊戲的驗證規律,人們發現僅僅在兼具4k和3m+1(k...的奇數,和相應的偶數,都被它們牽連了,這些自然數都是無法最終歸結於1...
冰雹猜想 一,3x+1猜想的公式 二,3x+3猜想 克拉茨問題要在偶數之內的必然是素數或自然數1,除自然數1和偶數-1外,其它在偶數...很大的自然數。 1962年,中國的潘承洞和蘇聯的巴爾巴恩證明了“1 + 5...,小於√M的素數為小素數。特性一:1、依據素數定理,只能被1和自身數整除...
概述 研究途徑 成果 發展 成績要在偶數之內的必然是素數或自然數1,除自然數1和偶數-1外,其它在偶數...很大的自然數。 1962年,中國的潘承洞和蘇聯的巴爾巴恩證明了“1 + 5...,小於√M的素數為小素數。特性一:1、依據素數定理,只能被1和自身數整除...
概述 研究途徑 成果 發展 成績只能生成有窮自然數4.2.5 有窮位計數器中的一些重要規律4.3 潛無窮和...(自然數數值維、編碼長度維和。。的可達性維),指出傳統自然數集概念和層次無窮理論的局限性,提出完整的自然數集概念和統一無窮理論:①肯定自然數的二重性...
圖書信息 編輯推薦 內容介紹 作者介紹 目錄發現自然語言和信息處理這么有趣。今年,作者吳軍博士幾乎把所有文章都重寫了...博士,畢業於清華大學(本科、碩士)和美國約翰·霍普金斯大學(博士)。在清華大學和約翰·霍普金斯大學期間,吳軍博士致力於語音識別、自然語言處理...
內容簡介 作者簡介 作品目錄 表述 內容自然數,如果是偶數,就除以2,如果是奇數,就乘以3再加1。最後,經過若干...以後,最後是1。疊代過程只要出現2的冪,問題就解決了。也就是說,第一個...),第三個層次是:從一得知,有無窮多個自然數的奇數m1=(2^n-1)/3...
一個錯誤的證明 一個推廣 角谷猜想 深度擴展 編程驗證(註:0º無意義)同底數冪法則同底數冪相乘除,原來的底數作底數,指數的和...的2次冪”、“7的3次冪”,其中2與7叫做底數(base),2與3叫做...(power),乘方的結果叫做 冪(power),a叫做底數(base...
表示 圖示 性質 例題特別地,0的非正數指數冪沒有意義 平方差兩數和乘兩數差等於它們的平方差...都是正數。(3)0的任何正數次冪都是0。速算有些較特殊的數的平方,掌握規律...定義求n個相同因數乘積的運算,叫做乘方,乘方的結果叫做冪(power...
定義 常用公式 速算 科學記數法 pascal語言實現自然數乘方