簡介
自從變壓器被發明以來,它已經成為輸電系統和配電系統套用最為廣泛的能量轉換設備之一。它具有成本低、效率高、可靠性好等優點,因此被廣泛地用來實現電壓變換和隔離。然而,近十幾年來,隨著大量非線性負荷和敏感用戶的增長,傳統變壓器固有的缺點,如直流偏磁、飽和、波形畸變等,變得越來越突出。因此,許多學者開始進行基於電力電子技術的新型電力變壓器的研究。
於 AC/AC高頻連結的電了變壓器的思想,並實現了一種200V/3kVA的樣機,對這種AC/AC直接高頻連結的電了變壓器的控制算法進行了最佳化,提高了效率,但它們無論是從功率等級還是電壓等級上,都與配電系統的實際情況不相適應。
可以實現整功率因數(即電壓和電流同相位,功率因數為1)整流的多模組級聯的單相電力電了配電變壓器,通過低壓模組的級聯,達到配電系統的兒千伏至兒十千伏的電壓水平。但該變壓器只能實現功率單向流動,並且無功控制不靈活。以單相和三相電壓源變換器(VSC)為基礎,構造了一種新的三階式電了電力變壓器,但只是從原理上進行了拓撲結構設計和控制方案設計,而沒有 具體的實現方案進行仿真或實驗驗證,並且,該電了電力變壓器的中間隔離變壓器製造和DC-DC模組的控制都非常複雜。
A-EPT結構設計
A-EPT採用了3階式(高壓級、隔離級和低壓級)設計思路,由3組高壓側採用級聯多電平型變換器構成的一相變三相了單元構成,如概述圖所示。
高壓級設計
由於單個功率器件的耐壓水平達不到配電系統和輸電系統的電壓等級,因此用於輸、配電系統的電力電了裝置需要採用多個功率器件或者模組串聯技術。A-EPT高壓級每一相都是由N個完全相同的單相全橋VSC模組級聯而成,如概述圖1(b)所示。為了保證高壓側系統的電流具有良好正弦波形和實現功率因數靈活控制,單相全橋採用PWM整流運行方式,各模組之問採用載波移相技術。
由於採用了N個無論是容量還是耐壓等級都相同的單相全橋,所以只要採用適當的控制,就可以實現N個單相全橋的直流側電壓相等,進而實現交流側高壓平均地分配在N個單相全橋變換器上,從而可以避免開關器件直接串聯,亦無需開關器件直接串聯時複雜的保護電路。
隔離級設計
隔離級需採用高頻變壓器,以實現高壓側系統和低壓側系統問的電壓等級變換和電氣隔離。
變壓器體積大小是磁芯材料飽和磁通密度、最大容許溫升和繞組最大容許溫升的函式,而飽和磁通密度與頻率成反比。因此,在相同容量下,高頻變壓器比工頻變壓器體積小很多。
從高壓級單相全橋輸出的是直流,在進入高頻變壓器之前需要把直流調製成高頻交流。A-EPT的隔離級的每一相是由N個單相全橋DC/高頻AC變換器模組、1個N輸入3輸出高頻變壓器和3個單相全橋高頻AC/DC變換器組成。高頻變壓器輸出端的個數也可以是3的倍數。當功率由高壓級向低壓級流動時,高壓級DC/高頻AC變換器將直流調製成高頻方波,由高頻變壓器磁耦合到低壓級,再由低壓級高頻AC/DC變換器重新還原成直流。反之,低壓級高頻AC/DC變換器進行直流調製,高壓級DC/高頻AC變換器還原成直流。如果只考慮功率單向流動,負責將高頻交流還原成直流的變換器可以採用二極體整流代替。
低壓級設計
低壓級主要實現將隔離級來的直流變成工頻交流(或者所需的其他頻率的交流)。它由單相全橋逆變器和LC濾波器構成。
自平衡電子電力變壓器在低壓側,面臨的主要問題是功率器件的通流能力,為了滿足大電流的需要,採用多個單相逆變橋並聯。如圖概述(b)所示,A-EPT的一個了單元結構,它的低壓級由3組獨立的單相全橋變換器模組組成,可以形成a, b, c三相低壓輸出。在構成三相A-EPT時,將每個單元形成的a, b, c三相輸出,分別對應地並聯在一起,組成三相A-EPT的低壓級。這種交錯並聯的最大優點是從結構上解決了A-EPT高、低壓側系統不平衡的相互影響。低壓級的連線示意圖如圖2所示。
從上述的分析可以看出,A-EPT實現白平衡的原理是:當實現從高壓側向低壓側傳遞能量時,原方系統的每一相電能,經過高壓級調製成高頻信號後,傳遞給隔離級,並耦合到低壓級,分配到a,b, c三相,變換成所需的交流信號後輸出;反之,當實現從低壓側向高壓側傳遞能量時,原方系統的
控制方案
高壓級控制
高壓級的控制目標主要有2個:一是實現直流電壓恆定,二是實現交流側電流正弦和功率因數靈活可調。
1)開關方式。
多電平控制技術有很多,在級聯多電平中最常用的是載波移相正弦PW M技術。在這種控制技術下,由N個單相全橋級聯成的變換器,其交流側電壓的電平數可以達到2N十1個,因此在較低的開關頻率下,就可以使諧波含量大大降低,同時使開關損耗也大幅度減小。不失一般性,下面的分析將以3個單相全橋級聯為例進行。
自平衡電子電力變壓器單相全橋模組如圖3 (a)所示,開關Si~Sa的開關點由載波和調製波的交點決定。
S1和S3的開關信號互補,S2和S4的開關信號互補。S1和S3的開關信號分別由相位差為180°的正弦波和同一個三角載波比較的交點得到,如圖3(b)所示。因此,每個模組的交流側輸出是PWM信號的疊加.
當N個單相全橋模組級聯時,如果保持所有模組採用相同的調製信號,但各白的載波信號依次錯開一定的角度;,就可以使交流側疊加波形成多階
直流電壓控制
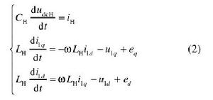
從系統側而言,高壓級可以採用式(2)的微分方程來進行描述:
自平衡電子電力變壓器
自平衡電子電力變壓器圖4給出了A-EPT高壓級的直流電壓控制方案。它由2個獨立的控制器Pu1和Pu2構成。其基本思路是將實際直流電壓與參考值比較後的偏差作為反饋信號,經過調節器後形成有功電流參考值。為了儘可能避免因為模組特性或電路參數不完全一致導致級聯模組問的直流電壓不平衡,在直流電壓控制環中,將單個模組的直流電壓與平均直流電壓之問的偏差經調節器,用以修正各個模組調製波的相角。因為直流電容電壓的高低,與交流側提供的有功功率相關,通過修正各個調製波的相角,就可以調整交流側提供的有功功率,從而達到調整直流電壓的目的。這裡所設計的載波移相與傳統意義上的有不同,稱為改進載波移相技術。
交流電流控制
從式(2)可以看出,d, q軸之問存在複雜的耦合關係,給控制器的設計帶來很大的困難。為此,在電流控制環中引入狀態反饋解禍,如圖4所示。為了實現輸入功率因數為1, q軸電流參考值被置為0.
隔離級控制
自平衡電子電力變壓器隔離級要實現將直流轉換成交流並耦合到副方後還原成直流,這裡採用開環PWM控制就可以滿足要求。對於高頻變壓器高壓側的單相全橋變換器,採用占空比為50%的PWM波進行逆變,而對於高頻變壓器低壓側的單相全橋整流器,同步進行整流即可。整個控制方案如圖5所示。
低壓級控制
自平衡電子電力變壓器低壓級控制目標是保證提供給低壓側系統的電壓恆定。如果考慮低壓側為無源系統,則可以採用基於瞬時值反饋的定交流電壓控制,如圖6所示。

