簡介
實驗發現在一超導體中流過電流時,超導體保持無阻有一電流上限,我們把它叫做該超導體的臨界電流I,只要I≥I,則超導體出現電阻。 然而對於Meissner態的超導體和混合態的非理想Ⅱ類超導體臨界電流的機制是不一樣的。
臨界電流理論
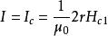
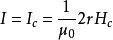
Silsbee假設電流對超導電性的破壞就是電流在超導體表面上產生的磁場在任一點超過臨界場而致. 對Ⅰ類超導體和處於Meissner態的Ⅱ類超導體,I是符合Silsbee假設的. 例如當電流I流過一根半徑為r的超導圓柱時,電流在其表面產生的磁場為:
臨界電流
臨界電流
臨界電流對於Ⅰ類超導體. 當 時,超導體將出現電阻;對Ⅱ類超導體為 時,Ⅱ類超導體將出現電阻。
但要注意的是當I=I時,雖然突然出現電阻,但不能達到完全正常態的電阻。其原因是當I=I後,表面達到H(或H),圓柱體外表層變成正常,電流將在小於r的超導柱心內流動,這樣柱心表面的磁場要大於H(或H),超導柱心將繼續縮小直到全部都變成正常。 而正常金屬中電流則均勻分布於截面,於是體內電流產生的磁場小於H(或H),故柱內又不可能處於正常態,這顯然是一個矛盾的解釋。
F.London (1937)指出當I≥I後,超導柱進入中間態,在柱截面上出現一不均勻的電流分布,以保持柱內各處電流產生的磁場是H(或H). 隨著I(>I)增加,中間態超導部分逐漸減少,最後全部過渡到正常態。
超導材料中臨界電流研究
高溫超導帶材套用於超導限流器、超導儲能等超導電力裝置時,會受到外界磁場的影響。在外界磁場的影響下,高溫超導帶材的臨界電流會發生衰減,衰減程度由外界磁場的方向和強度決定。臨界電流直接影響這些超導電力設備的性能,因此在背景磁場下開展高溫超導帶材臨界電流實驗研究就顯得至關重要。
在超導電力技術套用中,超導儲能(SEMS)系統以其具有儲能密度高、功率密度高、回響速度快、儲能效率高及四象限功率補償能力的特點,在提高電力系統穩定性、改善供電品質方面得到了廣泛關注和深入研究。由於第一代高溫超導帶材使用了貴金屬銀,所以其製作成本下降空間受到限制。第二代高溫超導帶材雖然對設備、工藝等有較高的要求,但是隨著技術的進步,其帶材的生產成本必然會下降,這就給超導電力設備的大規模套用帶來了希望。當第二代髙溫超導帶材套用於超導儲能裝備時,帶材的臨界電流在儲能磁體的設計過程中是個重要的參數。儲能磁體在運行過程中會產生強磁場,而超導帶材的臨界電流對磁場又非常敏感。因此磁場對髙溫超導帶材臨界電流影響的研究對於儲能磁體的設計就必不可少了。
磁場大小對於超導帶材臨界電流的影響非常大。在平行磁場的影響下,臨界電流的衰減程度會隨著磁場的增大而趨於平緩。隨著磁場強度的不斷增大,超導帶材的臨界電流有著明顯的衰減;在外界磁場的方向由平行轉為垂直的過程中,臨界電流衰減程度逐漸變大。
高溫超導帶材研究
從套用角度講,高溫超導帶材必須達到以下幾方面的要求:可靠性高、成本低廉、柔性強度好以及較低的交流損耗,才能被市場所接受。第一代高溫超導材料還很難滿足上述條件,如Bi 系高溫超導帶材雖然已實現了批量生產,但其因含有一部分價格昂貴的銀層使其成本高,且在垂直磁場下 Jc的急劇衰減使其大規模套用前景渺茫。與其相比,REBCO 高溫超導帶材經濟性能好,具有較高的不可逆場,達到 7T,可以達到相同運行情況下 Bi 系帶材不可逆場的30倍左右,使得 REBCO 高溫超導帶材可以套用於強磁場中。而且在相同載流面積下,REBCO 高溫超導帶材的載流能力是銅電纜的100 多倍,因此有很強的載流能力。目前,美國 AMSC 公司、美國Super Power 公司、德國EHTS 公司、以及我國的上海超導、蘇州超導公司都具備生產第二代高溫超導帶材的能力。
由於高溫超導材料是氧化物陶瓷材料,機械性能差。當機械應力達到某些值時,載流能力將會下降。超導材料常考慮的機械特性包括拉伸應力、應變,彎曲及扭絞應變對超導材料臨界電流的影響。國內外很多機構對第二代高溫超導帶材的特性進行了研究,如我國中科院電工研究所研究了拉伸應力對高溫超導帶材的臨界電流,n值和交流損耗等的影響規律;華北電力大學研究了高溫超導帶材在兩種不同彎曲形式情況下載流能力受到的影響;美國、德國、韓國等國家也研究了超導帶材的內部結構在外部應力載荷作用下損傷演化過程。
不同超導帶材的臨界電流
超導帶材的不同堆疊方式對其電磁及機械性能的影響很大。國內外先後提出了多種基於第二代高溫超導帶材的超導導體結構設計方法,常見的股線導體有CORC、Reobel、TSTC、CICC、HTS-Cro Co以及高溫超導大電流引線和準各向同性高溫超導股線,它們的結構都在一定程度上改善了導體的電磁及機械性能。
CORC
CORC(Conductor on round core) 由D. C. van der Laan等人設計的一種新型超導導體,其結構是REBCO帶材以螺旋纏繞的方式繞制線上芯上,並在外側用絕緣材料進行包覆。
CORC結構具有高載流、低電感、低交流損耗和高工程電流密度的特點,由於其骨架直徑遠小於超導電纜,所以其臨界電流密度也較高,臨界電流密度會隨著REBCO帶材纏繞層數的增加而增加。2013年,D. C. van der Laan又利用CORC導體製作了如下圖所示可套用於高場的大容量緊湊型高溫超導結構。經過實驗實際測量,在外場達到19 T,溫度在4.2 K時,該種高溫超導磁體結構的臨界電流為5 KA,並且電流密度高達114 A/mm 。
Roebel Cable
雖然相比於第一代高溫超導塗層導體,第二代高溫超導帶材 REBCO 在平行場下的交流損耗大為減小,但在垂直場下仍存在較大的交流損耗,因此,降低 REBCO 在垂直場下的交流損耗成為其套用的關鍵。基於此,A. Frank、R. Heller 等 人提出一種低交流損耗和高載流能力的超導結構設計方法RACC(Roebel Assembled Coated Conductor Cables)。
研究發現,寬度較小的高溫超導體和位置交換的超導結構能夠減小交流損耗,為了儘量減小帶材寬度,Roebel 帶材寬度只有1-2 mm,正反梯形彼此交替的特殊形狀既有利於相互間的交疊排列,同時也實現了帶材之間的換位,可以構成多股電流容量大交流損耗低的超導導體。
TSTC
TSTC(Twisted Stacked-Tapes Cable) 是由麻省理工學院M. Takayasu 等人提出的一種新型超導導體,其結構是扭絞平行排列的高溫超導帶材外加絕緣或金屬護套的方式構成的一種靈活的超導導體。有著良好的機械特性,可套用於大型超導磁體線圈,也能夠多股絞合在一起加工高電流電能傳輸導體。
麻省理工學院的學者對 TSTC 的電磁及機械特性進行了大量的實驗研究。研究發現,TSTC 有著極高的臨界電流密度和良好的彎曲特性,由32 根4.8 mm 寬,0.82 mm 厚的高溫超導帶材堆疊以200 mm 扭矩扭絞的TSTC 結構股線液氮溫度下臨界電流達到 1.5 k A,在液氦溫度下可達10 k A。由於TSTC 將超導帶材平行堆疊,帶材能夠相互支撐,可以防止帶材受到的應力過於集中並且多根帶材扭絞可以減輕帶材側向彎曲的程度,在彎曲半徑為 140 mm 時,由24 根帶材組成的TSTC 導體臨界電流退化僅為6%,因此TSTC 可用於製作超導線圈。
CICC
CICC(Cable-in-conduit conductor)是在歷經了法國的Tore-Supra、日本的TRIAM-1M 等熱核聚變裝置上超導磁體演變後推出的導體結構,今天中國的國家大科學工程項目 EAST、印度的SST1、韓國的KST AR 以及投資數10 億美元即將建造的 ITER 核聚變裝置上都使用CICC, CICC 優良的性能使其成為目前以及將來大型超導磁體的首選導體。
HTS-Cro Co
HTS-Cro Co(HTS-Cross Conductor)是 由 德 國 卡 爾 斯 魯 厄 研 究 中 心WalterH.Fietz 等人最近提出的一種新型超導導體,這種結構的導體適用於長距離導體的製作,可以最佳化工程電流密度並簡化導體之間的連線。如圖 1-8 所示,圖片上方為 HTS-Cro Co 的超導線芯部分,圖片下方為HTS-Cro Co 的示意圖及樣品圖。HTS-Cro Co 由4 mm 寬和6 mm 寬的兩種不同寬度預先鍍錫的超導帶材平行排列後進行扭絞外加金屬包套加固製成。
