膠片掃描
透射率和光密度
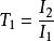
膠片掃描當光線照射到物體上時,對於大多數物體,光線並不是全部可透過,而只是部分可透過。這種對於光線的部分透過光,通常有兩種方法測量部分透光的特性:透射率或光密度。如右圖所示,假設左右兩物體均為部分透光特性,根據物理學和光學理論,則左邊物體的透射率為:
膠片掃描0≤T≤1
其中I 是左邊物體的入射光流量密度,I 是透射光流量密度,透射率T 反映了被物體吸收的光強,即物體對光強度的衰減係數,根據物理意義,其值在0~1之間。
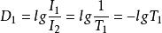
而左邊物體的光密度D 為:
膠片掃描0≤D≤∞
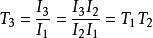
根據上式可知,對於不透光物體,D為無窮大,與物理意義一致。以同樣的方法可以分析右邊物體。因此,當光照射到該圖所示的兩個串聯關係的物體上時,則總透射率T為:
膠片掃描總的光密度D 為:
膠片掃描因此,當吸收光的物體是串聯位置關係時,兩物體的綜合光密度相加,透射率相乘。
攝影過程
膠片掃描攝影中使用的膠片的物理結構如右圖所示,為使攝影膠片具有良好的機械穩定性,膠片的片基材料為玻璃或柔性透明醋酸纖維素薄片。片基上塗有5~25μm厚的乳化劑(氯化銀、溴化銀或碘化銀晶體),乳化劑由鹵化銀顆粒嵌入凝膠而成,鹵化銀經過處理後對光很敏感。曝光過程中,乳膠的不同位置接受到不同強度的光,鹵化銀顆粒吸收光後,顆粒被曝光,根據光線照射強弱,不同比例的鹵化銀顆粒被還原成銀。
膠片顯影
膠片顯影是指鹵化銀被還原為銀的過程。乳膠片上已曝光的顆粒比沒有曝光的顆粒還原速度要快得多。經過一段時間後,一些顆粒被曝光還原為銀,而另一些顆粒沒有被曝光,這些沒被曝光的鹵化銀顆粒被沖洗掉,因此,沖洗後的膠片上銀的厚度是不均勻的。曝光充足的區域,乳化劑的厚度基本沒變化,具有最大的厚度;曝光不足的區域其厚度次之,沒有曝光的區域,鹵化銀顆粒幾乎完全被衝掉了,僅留下光密度大約是0.04的薄層。
乳膠對光的回響
膠片掃描乳膠對光的回響特性如右圖所示,該曲線較好地描述了乳膠的光學特性。該曲線又稱為D-logE曲線或H-D曲線,它將定影膠片的密度表示為曝光量對數的函式。合理的曝光時間一般在幾毫秒到幾秒之間,曝光量可以認為是入射輻射能通量與持續時間之乘積,該強度與曝光時間之間的等效性稱為互換法則。但對於極長或極短的曝光時間,該法則失效,稱為互換失敗。
根據右圖,在一個較寬的範圍內,密度與曝光量的對數關係可以近似為線性關係,這一範圍是攝影時乳膠的正常工作區。線性部分橫坐標的區間長度稱為乳膠曝光寬容度,曲線線性部分的斜率表示乳膠的對比度,一般用γ表示。
乳化劑的特性
乳化劑的厚度和顆粒大小是決定膠片使用性能的重要因素。一般情況下,當乳膠塗層較厚時才能得到較大的密度,而乳膠的高解析度則要求乳膠塗層薄且顆粒粒度小,因為這樣可有效避免乳膠層的光擴散,因此這兩方面的要求是矛盾的,需要進行綜合考慮。此外,高敏感性同樣要求乳膠層薄及顆粒粒度小。乳化劑的敏感性越低,解析度越高,它的粒度和厚度越低。
膠片解析度
膠片掃描調製傳遞函式(MTF)是描述乳膠解析度的常用方法,如右圖所示,一般採用滿足如下表達式的具有空間周期性的光強分布模式使乳膠曝光:
膠片掃描其中lgE落在H-D曲線的線性區域的中心部分。
從H-D曲線可得密度為:
膠片掃描
膠片掃描0≤M(f)≤1
其中,M(f)是空間頻率f的函式,表示圖像對比度的損失。
照相複製
膠片掃描有時膠片掃描的源圖像是其他膠片圖像的拷貝,而不是原始膠片,如右圖1所示說明了照相複製和縮微照相的過程。假設源圖像的密度為D(x,y),而理想膠片的性質如右圖2所示,樣本用強度為I的光線從背後照射,持續時間為T,則從點(x,y)到達
膠片掃描
膠片掃描膠片上的點(x‘,y')的曝光量為:
膠片掃描令E=IT,對上式取對數得:
在圖2的線性區域,光密度為:
膠片掃描則:
膠片掃描其中:
膠片掃描上式說明,當光密度低於D 時,用γ因子修正可實現負片圖像。
膠片掃描的性能指標
介質
圖像領域使用的主要介質是35mm幻燈片,較大尺寸的透明型介質還有2.25in×2.25in、4in×5in等負片和透明介質。為精確表示數位化負片的顏色,膠片掃瞄器需補償膠片本身及膠片上的顏色,它們均以彩色印刷材料的特性為基礎,與人類視覺系統感受顏色的方法無直接關係。部分膠片掃瞄器僅轉換負片的顏色,而不進行顏色修正。另有一些膠片掃瞄器通過採用LUT或CLUT等不同膠片類型的查色表,或者採用硬體處理和軟體算法平衡從負像到正像的轉變。
光學解析度
膠片掃瞄器的光學解析度範圍一般在2000~8000ppi(pixel per inch)之間,最大掃描尺寸可達6in×9in。通常情況下,解析度為2000ppi的膠片掃瞄器完全可以滿足用於演示和用於多媒體的35mm膠片的數位化需要。
色深度和動態範圍
大多數膠片掃瞄器使用CCD電荷耦合器件獲取顏色和灰度級,一般存在噪聲和串擾問題。因此,高檔掃瞄器應選擇性能優良的電荷耦合器件以獲得較高的信噪比,此外,還可以通過採用補償技術獲得較高的顏色保真度。
常用膠片掃描設備
膠片掃瞄器
膠片所包含的圖像信息量比照片和印刷品要豐富得多,專業圖像處理一般都採用掃描膠片的方式來獲取圖像信息。膠片掃瞄器用於從攝影負片或幻燈片上進行掃描,對圖像進行處理以獲得數字圖像。膠片掃瞄器的工作原理與普通平板掃瞄器類似,膠片掃瞄器與普通平板掃瞄器最大的差別在於掃描材料的種類不同,前者是膠片,後者是諸如紙張等反射性媒質材料。若將膠片掃瞄器的掃描頭安裝在平板掃瞄器的頂部,則既能掃描需反射光源的紙質材料,又能掃描需直射光源的膠片。
膠片記錄儀
數碼膠片記錄儀是數碼攝影的又一輸出設備,用於從數碼影像獲取彩色、黑白負片或透明正片。膠片記錄儀從原理上來分有兩種基本類型。一是滾筒式膠片記錄儀,即利用雷射將數碼信息記錄在膠片上;二是CRT膠片記錄儀,又稱陰極射線管膠片記錄儀,它使用陰極射線管作為光源,光源經紅、綠、藍濾鏡照射到膠片上。膠片記錄儀主要用於高質量列印、幻燈片播放以及多媒體簡報製作。
鼓式掃瞄器
鼓式掃瞄器具有較高的光學解析度,主要用於處理透明膠片、負片以及反光圖片,它是一種非常昂貴、高質量、專業級的掃描設備,鼓式掃瞄器一般在特定專業領域套用,如需要數位化透射型介質(幻燈片、膠片、大的透明介質)的圖形圖像處理領域。鼓式掃瞄器又稱為滾筒式掃瞄器,當然這種滾筒式掃瞄器與前面所述的滾筒式掃瞄器並不相同。鼓式掃瞄器是專業印刷排版領域套用最為廣泛的產品,它套用的感光器件是光電倍增管,是一種電子管,性能遠遠高於CCD類掃瞄器,格也相對較高。

