技術方面
對於許多類型的問題,Buneman,Dawson,Hockney,Birdsall,Morse等發明的古典PIC方法是相對直觀和直接實現的。這可能在很大程度上取得了成功,特別是對於電漿模擬,該方法通常包括以下步驟:
(1)運動方程的整合。
(2)將電荷和電流源術語插入到場格線中。
(3)計算格線點上的欄位。
(4)從格線到粒子位置的場的插值。
包括粒子僅通過平均場的相互作用的模型稱為PM(粒子格線)。包括直接二元相互作用的那些是PP(粒子 - 粒子)。具有兩種類型的相互作用的模型稱為PP-PM或P3M。
自從早期以來,已經認識到,PIC方法容易受到所謂的離散粒子噪聲的誤差的影響。 這種誤差是統計學的,今天它比傳統的固定電網方法(如歐拉或半拉格朗日方案)仍然不太了解。
現代幾何PIC算法基於非常不同的理論框架。這些算法使用離散歧管工具,內插差分形式,以及規範或非規範的symplectic積分器來保證計量不變和電荷守恆,能量動量,更重要的是粒子場系統的無限維度結構。 這些期望的特徵歸因於幾何PIC算法建立在更基礎的領域理論框架上,並且與完美形式直接相關,即物理學的變分原理。
PIC電漿模擬技術的基礎知識
在電漿研究領域內,研究了不同物種(電子,離子,中性粒子,分子,灰塵粒子等)的系統。 因此,與PIC代碼相關聯的方程組是作為運動方程的洛倫茲力,在代碼的所謂的推動器或粒子運動器中求解,並且Maxwell方程確定在(場)求解器中計算的電場和磁場。
超粒子
所研究的真實系統在其含有的顆粒數量方面往往非常大。 為了使模擬有效或者可能,使用所謂的超級粒子。 超粒子(或大顆粒)是表示許多真實粒子的計算粒子; 在電漿模擬的情況下,可能是數百萬個電子或離子,或者例如在流體模擬中的渦流元件。 允許重新調整顆粒數,因為洛倫茲力僅取決於電荷與質量比,因此超級顆粒將遵循與真實顆粒相同的軌跡。
必須選擇對應於超級粒子的真實粒子的數量,使得可以在粒子運動上收集足夠的統計量。 如果系統中不同物種的密度(例如離子和中性粒子)之間存在顯著的差異,則可以使用實際到超級粒子的比例。
顆粒動力
即使使用超級顆粒,模擬顆粒的數量通常非常大(> 105),並且通常粒子移動器是PIC最耗時的部分,因為必須分別對每個顆粒進行。 因此,推動器需要高精度和高速度,並且花費大量精力來最佳化不同的方案。
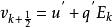
用於粒子移動器的方案可以分為兩類:隱式和顯式求解器。 雖然隱式解算器(例如隱式歐拉方案)從已經更新的欄位計算粒子速度,但是明確的求解器僅使用來自前一時間步長的舊力,因此更簡單和更快,但是需要較小的時間步長。 兩種經常使用的方案是跨越式方法 和Boris方案,這是明確的求解器。
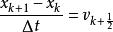
對於電漿套用,跳躍法採用以下形式:
胞中粒子法
胞中粒子法其中下標k是指從上一個時間步長到下一個時間步長的更新量,並且在通常的時間步長之間計算速度。
相比之下,鮑里斯方程式是:
胞中粒子法
胞中粒子法由於其極好的長期準確性,鮑里斯算法是推進帶電粒子的實際標準。 最近意識到,鮑里斯算法的極好的長期準確性是由於它節省相位空間體積的事實,即使它不是令人滿意的。 通常與symplectic算法相關聯的能量誤差的全局約束對於Boris算法仍然是一致的,使其成為電漿多尺度動力學的有效算法。
場求解器
用於求解麥克斯韋方程(或更一般地,偏微分方程(PDE))的最常用的方法屬於以下三類之一:
(1)有限差分法(FDM)
(2)有限元法(FEM)
(3)光譜法
使用FDM,連續域被替換為計算電場和磁場的點的離散格線。然後用相鄰格線點值之間的差值逼近衍生物,因此PDE變為代數方程。
使用FEM,連續域被分為元素的離散格線。 PDE被視為特徵值問題,並且最初使用本地化在每個元素中的基函式來計算試驗解。然後通過最佳化獲得最終解決方案,直到達到所需的精度。
此外,諸如快速傅立葉變換(FFT)的頻譜方法也將PDE轉換為特徵值問題,但是這一次基本函式是高階的,並且在整個域上全局定義。在這種情況下,域本身並不離散,它仍然是連續的。再次,通過將基函式插入特徵值方程中找到試驗解,然後進行最佳化以確定初始試驗參數的最佳值。
粒子和場權重
名稱“粒子在電池”起源於電漿巨觀數量(數量密度,電流密度等)分配給模擬粒子(即粒子加權)的方式。粒子可以位於連續域的任何位置,但宏數據僅在格線點上計算,就像欄位一樣。為了獲得巨觀數量,假設顆粒具有由形狀函式確定的給定“形狀”
胞中粒子法其中x是粒子的坐標,X是觀察點。 也許形狀函式最簡單和最常用的選擇是所謂的單元格(CIC)方案,它是第一級(線性)加權方案。不管什麼方案,形狀函式必須滿足以下條件:空間各向同性,電荷守恆和高階項的增加精度(收斂)。
從場解算器獲得的場僅在格線點上確定,不能直接用於粒子移動器來計算作用在粒子上的力,而必須通過場權重進行內插:
胞中粒子法其中下標i標註格線點。為了確保作用在粒子上的力自動一致地獲得,從格線點上的粒子位置計算宏數量和從格線點到粒子位置的插值場的方式也必須一致,因為它們都出現在Maxwell方程。最重要的是,場插值方案應該節省動量。這可以通過為粒子和場選擇相同的加權方案並且同時確保場求解器的適當的空間對稱性(即,沒有自力並且滿足動作反應規律)來實現。
碰撞
由於場求解器需要沒有自力,所以在一個單元內,一顆顆粒所產生的場必須隨著離粒子距離的減小而減小,因此細胞內部的粒子之間的力被低估了。這可以通過帶電粒子之間的庫侖碰撞來平衡。模擬每一對大系統的互動將在計算上太昂貴,因此已經開發了幾種蒙特卡羅方法。廣泛使用的方法是二次碰撞模型,其中粒子根據其細胞進行分組,然後這些粒子隨機配對,最後成對相互碰撞。
在真正的電漿中,許多其它反應可能起作用,從彈性碰撞(例如帶電和中性粒子之間的碰撞)到非彈性碰撞(例如電子 - 中性離子化碰撞)到化學反應;每個人需要單獨處理。處理帶電中立碰撞的大多數碰撞模型都使用直接的蒙特卡羅方案,其中所有粒子都攜帶有關其碰撞機率的信息,或者不考慮所有粒子的零碰撞方案[11] [12]使用每個帶電物種的最大碰撞機率。
精度和穩定性條件
在PIC的每個仿真方法中,時間步長和格線尺寸也必須在PIC中得到很好的選擇,從而在問題中正確解決了感興趣的時間和長度尺度現象。此外,時間步長和格線大小會影響代碼的速度和準確性。
對於使用顯式時間積分方案(例如最常使用的跳躍)的靜電電漿模擬,關於格線大小△x和時間步長△t的兩個重要條件應該滿足以確保解決方案的穩定性:
胞中粒子法
胞中粒子法
胞中粒子法
胞中粒子法這可以考慮一維非磁化電漿的諧波振盪。後一個條件是嚴格要求的,但與節能相關的實際考慮建議使用更嚴格的約束,其中因子2被數字數量級更小。典型的是使用。 其中,c是光速。
套用
在電漿物理學中,PIC仿真已被成功地用於研究極光電離層中的雷射 - 電漿相互作用,電子加速和離子加熱,磁流體動力學,磁重新連線以及托卡馬克的離子 - 溫度 - 梯度和其他微穩定性,此外,真空放電, 和灰塵電漿。
混合模型可以使用PIC方法進行某些物種的動力學處理,而使用流體模型模擬其他物種(即麥克斯韋)。
電漿物理學之外的PIC模擬也被套用於固體和流體力學中的問題。

