聲輻射壓力
流體媒質中傳播的聲波,入射到一個障礙物上,在其上所產生的前向平均壓力。其方向與聲傳播的方向相同。與交變的聲壓不同,它是由流體媒質的非線性引起的。用數學方程描述聲波在流體媒質中的傳播規律時,常認為聲壓不大,因而略去方程中的二階小量。正是這些二階小量構成聲輻射壓力。
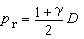
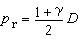
瑞利考慮聲波在氣體中傳播是一個絕熱過程,導出單位面積上的聲輻射壓力為
式中γ為氣體的比熱容比,k為障礙物前的聲能密度。這樣求得的聲輻射壓力常稱為瑞利輻射壓力。
L.-N.布里淵和 P.朗之萬考慮了聲波運動方程中的對流項,導出單位面積上的聲輻射壓力與障礙物前聲能密度k的關係為

常稱為朗之萬輻射壓力。根據目前的認識,瑞利輻射壓力適用於無限流體媒質內的平面波情況,而郎之萬輻射壓力適用於無限流體媒質內的有限束寬平面波情況,因而兩者並不相同。在實際測量情況下,一般測得的是朗之萬輻射壓力。
上面這個公式適用於障礙物對入射聲全部吸收的情況。如為全反射,則該公式應為

聲輻射壓力很小,可以從以下兩例看出:①水中聲壓幅值為5個大氣壓(1個大氣壓等於101325帕)的強聲所產生的聲輻射壓力只不過萬分之幾大氣壓;②空氣中140分貝的強聲所產生的輻射壓力只有0.3帕。
在聲學測量中,聲輻射壓力常被用來測量聲強、聲功率等。
輻射壓力是波的一個普遍物理現象,光波亦有光的輻射壓力(見光壓)
參考書目
R. W. B. Stepheno and A.E.Bate,Acoustics and Vibrational Physics, 2nd ed., Edward Arnold,London,1966.
T. F.Hueter and R.H.Bolt, Sonics, John Wiley & Sons,New York, 1955.
別爾格曼著,曹大文等譯:《超聲》,國防工業出版,北京,1964。

