簡介
媒質中某點上某指向方向 r 的聲強是單位時間內通過該點與方向 r垂直的單位面積的平均聲能,即
(1)
(2)或
(3)式中 p為瞬時聲壓, μr為瞬時質點速度在 r方向的分量, T為周期的整數倍或長得不影響計算結果的時間。由於瞬時質點速度 μr難以測量,故以往測量聲強,都是在自由場和選場平面波的條件下進行的,此時質點速度與聲壓同相,且有 μ= p/ ρс,則聲強為式中 pe為聲壓的有效值。實際上此條件是很難得到充分滿足的,況且在多聲源的情況下,即使條件滿足,上式也不成立。但若根據運動方程
(4)
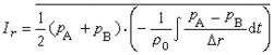
(5)若用兩傳聲器測間隔為Δ r(Δ λ)的A、B兩處聲壓 pA、 pB之差與Δ r之比近似代表該處的聲壓梯度以表示質點速度,並以 pA、 pB的平均值表示該處的聲壓,即則有 聲強儀的測量原理就是以這個公式為基礎的,目前此儀器有三種類型
(6)聲強計這是套用模擬量計算技術以獲得聲強級的儀器,它僅給出線性、A計權或其他計權的聲強級,因而它可以像聲級計那樣做成攜帶型的聲強計。此儀器的典型方框圖如圖1所示。圖中+、-、×和∫分別表示加、減、乘和積分過程。
實時聲強分析儀
(9)這是套用數字濾波技術,通過以1/3 倍頻程濾波器歸一化的雙數字濾波器組獲得實時聲強分析的儀器,它如同實時聲分析儀那樣最終在顯示器上顯示聲強譜圖。此儀器的結構基本上與聲強計相同,此處只是運用數位技術,以數字濾波器及運算代替模擬濾波器及運算。圖2為此儀器的典型框圖。
聲強分析儀
(7)此儀器測量聲強是通過測量兩聲壓互功率譜得到的。對一穩定的隨機信號,可對進行傅立葉變換,可得聲強為式中Im【 GAB】為 pA和 pB的互功率譜的虛部。聲強分析可先套用相關器測量互功率譜,再通過 FFT分析儀進行分析,也可以先用雙通道磁帶記錄儀錄下 pA、 pB信號,然後用計算機或專用的雙通道FFT分析儀進行分析。
(8)用此類聲強儀測量聲強時不受環境條件限制,可在任何聲場中進行測量,也可進行近場測量。用此儀器測量聲源功率時,可以排除同時存在的其他無關聲源對測量的影響,此聲強儀還可用作聲定位儀以尋找聲源的位置。該儀器的測量頻率範圍因受Δ r λ的限制,故存在一高頻限,一般為10kHz左右,同樣還存在低頻限,約為125Hz。

