什麼是聯測法
由於主客觀條件的限制,企業不可能對整個市場進行全面普查,只能是局部普查或抽樣調查。因此,在許多情況下,運用局部普查資料或抽樣調查資料,經過分析、判斷,對整個行業或整個市場進行聯測,就成為客觀需要。運用聯測法,其關鍵在於局部普查資料應具有典型性,抽樣調查的樣本應是總體的縮影,即能反映總體的面貌。
聯測法的套用
下面舉一具體例子說明聯測法的具體套用。
某電冰櫃廠為了開拓4個城市電冰櫃的需求市場,用聯測法預測2003年4個城市電冰櫃總需求量。
我們用 X1、 X2、 X3、 X4分別代表企業要開拓電冰櫃銷售的四個城市市場。 居民對電冰櫃的需求,與居民收入水平、供電和住宅狀況有關,而 X1、 X2、 X3、 X4四個城市的居民收入、住房條件、供電狀況大致相同。 因此,我們可以用對某一城市電冰櫃需求作抽樣調查,如 X1城市做調查,並以這一城市抽樣調查資料為依據,聯測其他三個城市的電冰櫃需求量、其具體步驟如下:
第一步:收集四個城市2002年電冰櫃銷售數字和居民戶數的資料,並計算銷售率。通過間接調查,這一方面資料如表:
| 市場 | X1 | X2 | X3 | X4 |
| 實際銷售量(台) | 6000 | 7600 | 8400 | 5300 |
| 居民家庭(萬戶) | 4 | 5.2 | 6 | 3.5 |
| 銷售率(台/戶) | 0.15 | 0.146 | 0.14 | 0.151 |
銷售率 C i = 實際銷售量\居民戶數
四城市2002年電冰櫃銷售率分別為:
聯測法
聯測法X1城市銷售率: X2城市銷售率: X3城市銷售率:
聯測法
聯測法X4城市銷售率: 第二步:計算四個城市2003年電冰櫃需求率。
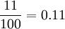
由於對 X1城市居民進行抽樣調查,調查行知每百戶居民電冰櫃需求量為11台。若用 D i表示需求率,則:
聯測法X1城市需求率 D1 = 居民需求量\居民調查戶數= 對 X2、 X3、 X4城市沒有進行抽樣調查,它們的電冰櫃需求率 X2、 X3、 X4無法直接求得。但通過聯測可以間接求得。
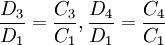
由於四個城市2002年銷售率差異可以近似反映四個城市2003年需求的差異。這樣,兩個城市的銷售率之比近似等於兩個城市需求率之比。即:
聯測法(或
聯測法) 由此,不難求出 X2、 X3、 X4城市的需求率 D2、 D3、 D4。
聯測法
聯測法
聯測法第三步:根據城市需求率推算四個城市電冰櫃需求量。
需求量=需求率×居民戶數 X1城市需求量=0.11×40000=4400(台) X2城市需求量=0.107×52000=5564(台) X3城市需求量=0.103×60000=6180(台) X4城市需求量=0.11×35000=3850(台) 最後,確定四個城市2003年電冰櫃需求量預測值:
Y = 4400 + 5564 + 6180 + 3850 = 19994(台)
以上就是僅根據 X1城市抽樣調查資料而聯測出 X2、 X3、 X4需求率,進而求得四個城市電冰櫃需求預測值。

