簡介
在現代電子測試中,老化測試箱被廣泛套用,溫度控制對電子設備的測試具有決定性影響,測試箱溫度控制系統具有大滯後、非線性、時變等特性。
老化箱的系統結構
老化箱的溫度控制系統是以微處理器為核心,採用PID控制,使得溫度可以控制在測試範圍當中,加熱絲的加熱功率為2000W,溫控箱的溫度範圍為0~150℃,實用的電壓為市電交流220V。
整個系統由4個模組組成,如圖所示,採用MUC控制,其內部包括A/D和D/A轉換模組、繼電器和輔助繼電器驅動電路。老化測試箱內部有用於溫度檢測的PT100,以及用於加熱的加熱絲。
老化測試箱由於老化箱一般可以看作帶有純滯後環節的一階對象,其傳遞函式可以用以下公式表示:
G(S)=KTS+1e-τS;
通過測量系統溫度的飛升曲線,可以得到老化箱的傳遞函式的參數:放大係數K=120,時間常數T=1000,滯後時間τ=60s。
PID控制
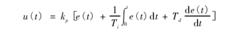
由於PID控制算法具備結構簡單、可靠性高等優點,因此在工業控制領域中得到廣泛套用。尤其當微控制器套用在控制領域後,PID控制算法使用起來更加方便,實現了軟體的數字PID控制算法。數字PID控制器比傳統模擬PID控制器的控制性能更好,廣泛套用在工業生產過程中。它是將比例、積分、微分控制並聯在一起。假定在系統給定與反饋出現偏差:
e(t)= r(t)- y(t) (3)
可以用如下表達式表示:
老化測試箱(4)
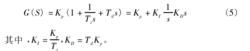
其中,u(t) 為控制器的輸出,Kp為比例係數,Ti為積分時間係數,Td為微分時間係數由式(3) 可以得到PID控制器的傳遞函式為:
老化測試箱由式(4) 可知:
(1) 比例環節: 其主要作用是放大誤差作用,當給定和輸出出現偏差,控制器使偏差放大,比例係數越大,控制過程的過渡越快,但是過大的比例係數也會引起過高的超調量。
(2) 積分環節: 為了消除誤差,控制器必須引入積分環節,積分環節的引入,隨著時間的增加,積分項會增大,它的輸出增大將進一步減小穩態誤差。
(3) 微分環節: 由於微分具備對誤差提前報告的作用,適當的微分係數可以微分加快系統回響過程。

