翼弦是指機翼沿機身方向的弦長。除了矩形機翼外,機翼不同地方的翼弦是不一樣的,有翼根弦長b、翼尖弦長b。
幾何平均弦長
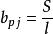
翼弦幾何平均弦長是面積與展長都與原機翼相等的當量矩形翼的弦長;用表示。
翼弦其中,S為機翼在機體水平面的投影面積,l為機翼的展長。
平均氣動力弦長
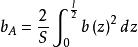
翼弦平均氣動力弦長是假想矩形機翼的弦長,這一假想機翼的面積與實際機翼的面積相等,它的力矩特性和實際機翼也相同。用表示。
翼弦
翼弦其中,為當地弦長。

翼型的前緣點與後緣點的連線成為翼弦,它是翼型的特徵長度。但是某些翼型的下表面大部分為直線,即將此直線定為翼弦。
翼弦是指機翼沿機身方向的弦長。除了矩形機翼外,機翼不同地方的翼弦是不一樣的,有翼根弦長b、翼尖弦長b。
翼弦幾何平均弦長是面積與展長都與原機翼相等的當量矩形翼的弦長;用表示。
翼弦其中,S為機翼在機體水平面的投影面積,l為機翼的展長。
翼弦平均氣動力弦長是假想矩形機翼的弦長,這一假想機翼的面積與實際機翼的面積相等,它的力矩特性和實際機翼也相同。用表示。
翼弦
翼弦其中,為當地弦長。
地效翼船(wing-in-ground-effect vehicles)利用地面效應原理而製成的船隻。地效翼船可分為沖翼艇和氣翼艇兩種,其中沖翼艇由提供...
簡介 誕生的故事 空氣動力原理 國際海事組織制定的依據類型核准 範疇界定《溫暖的弦》 由安寧編寫,花山文藝出版社出版。這是一個溫暖的故事,收藏一段失而復得的愛情。願你相信,即使披荊斬棘,即使歲月漫漫,那個你守候的人,終將為你...
作者介紹 內容介紹 目錄 精典語錄 出版信息"小說類型遊戲網遊內容簡介“...有沒有搞錯啊?我這個隱藏種族居然是個蝶妖?天哪!長的還真的是...美啊!”某女在向天大嚎
小說類型 內容簡介《溫暖的弦》 由安寧編寫,花山文藝出版社出版。這是一個溫暖的故事,收藏一段失而復得的愛情。願你相信,即使披荊斬棘,即使歲月漫漫,那個你守候的人,終將為你...
作者介紹 內容介紹 目錄 精典語錄 出版信息《紫翼青弦》是一個連載網路小說,作者:君之箏,小說講述的是天命選定的公主,與一直守護她的痴情男子,發生的感人至深的愛情故事。
簡介:弦夜笙歌古風社,成立於2013年3月,聚集了對廣播劇配音、音樂等相同愛好的朋友,成員在配音,編劇,作曲,詞,樂器演奏,演唱,後期製作,美工,宣傳等方面各...
社團簡介 社團成員 作品一覽 招募考核 海報集錦水翼是水中運動的機翼。它與機翼在空氣中運動一樣能產生舉力。水翼艇就是利用水翼的這種特性把艇體托出水面,使流體阻力大為減小的交通工具。
水翼 正文 配圖 相關連線水翼艇是一種高速艇。艇身底部有支架,裝上水翼。當艇的速度逐漸增加,水翼提供的浮力會把艇身抬離水面(稱為水翼飛航或水翼航行, Foilborne),從而大...
概述 原理 發展歷史 幾何特徵與平面形狀 結構形式