基本內容
群集係數是決定人員負荷的主要因素。在規範中規定,成年女子散熱量和散濕量為成年男子對應數值的85%,兒童為成年男子的75%,故群集係數=(成年男子數+成年女子數*85%+小孩人數*75%)/人員總數。
旅客在乘坐鐵路客車中,以顯熱和潛熱兩種形式向客室散發熱量,是形成調客車冷負荷的因素之一。由於成年女性及兒童在相同環境條件下與成年男性比,其散熱量是不同的。因此,空調負荷計算時必須考慮旅客的構成情況。美、日等國已對人體散熱數據做了修正,日本將這一修正係數稱為“群集係數”。
通過研究統計得到的舒適溫度範圍為22~24℃,在相對濕度為75%的條件下,大部分人仍然感覺舒適。而在ASHREA Standard 55-1992中舒適溫度範圍為20~26℃,相對濕度範圍在60%以下。由此可以看出,舒適區相對濕度範圍比ASHRAE標準的範圍大,究其原因,是由於顧客駐留時間短,對相對濕度的敏感度不高。而溫度範圍雖比標準範圍小,但由於客觀條件限制,所得舒適區難以具有代表性。
主要公式
群集係數節點 i 的局部群集係數C為與其相鄰的k個節點之間實際存在的邊數E與總的可能邊數 的比值,即
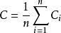
群集係數網路的群集係數C定義為所有節點群集係數的算術平均值,描述網路中所有節點局部群集係數的均值,其定義式為
群集係數式中,n 為網路節點總數,i 表示節點序號。
對網路來說,群集係數C描述的是網路的局部特性,即節點及其鄰居間的緊湊程度。
影響因素
人群聚集過程是一個複雜的過程,它受到人群組成、年齡、動機、建築結構、周邊環境等因素的影響,有很多影響因素是單純的數學分析所不能表述的。採用BuildingEXODUS對人群聚集的過程進行模擬,可以有效地重現人群聚集過程,模擬結果與定量分析結果基本一致。同時,對於定量分析中無法確定的變數,如相向流狀態下群集係數的變化,可以通過模擬進行確定。
初始階段,人群密度較低(小於2人/m ),行人可以不受他人影響,群集係數等於人群到達率與入口寬度之比,為恆量。在人群形成相向流後,流入群集係數與流出群集係數是人群密度的函式,它隨人群密度的變化而變化。
通過對群集係數與人群密度之間的分析,人群密度一旦達到一定數值,群集係數會急速下降至為0。實踐中表現為正常行走的人群突然停止或時走時停的狀態,此時,應立即採取措施進行疏導或加強管理。

