定義
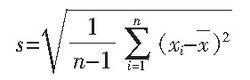
總體標準偏差是無窮多次測量情況下的實驗標準偏差,又稱為理論標準差。計算公式為:
總體標準偏差只有當n充分大(例如取n為200以上)的情況下,σ才與s接近,但決不能相等。一般課本或專業書籍上, 往往把σ稱為標準偏差。通常,σ是未知的,S只能作為σ的估算值。而且, 由於n的次數有限,s本身也有個不確定度。
公式推導
標準偏差是一組數值自平均值分散開來的程度的一種測量觀念。一個較大的標準偏差,代表大部分的數值和其平均值之間差異較大;一個較小的標準偏差,代表這些數值較接近平均值。
總體標準偏差總體標準偏差σ值小,表明測量值比較集中,σ值大表明測量值比較分散。其中, 的目的是為避免正誤差和負誤差相互抵消,因而取其絕對值,開方的目的是為了不改變其量綱。
總體標準偏差
總體標準偏差可用標準偏差表征測量值的分散程度, 例如用標準偏差表征測量儀器的重複性和復現性。σ是無限次測量的誤差的正均方根值,但它不是一個具體的誤差。式 -μ=δ,實際上真值是不可知的,一般以算術平均值來作為真值μ的最佳估計值。因此,可以用 代替μ,而用s作為總體標準偏差σ的估計值,此時有:
總體標準偏差
總體標準偏差
總體標準偏差
總體標準偏差
總體標準偏差
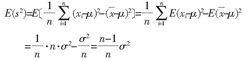
總體標準偏差現在的問題是,S是否就是σ的無偏估計值。為了解決這個問題只要計算一下 的數學期望是否是 。如果計算得到 的數學期望是 ,那么就說明S就是σ的無偏估計值,否則就不是。為了計算方便,先把 寫成下面的形式:
總體標準偏差則有:
總體標準偏差
總體標準偏差
總體標準偏差
總體標準偏差
總體標準偏差
總體標準偏差
總體標準偏差
總體標準偏差
總體標準偏差
總體標準偏差
總體標準偏差由此可見, 的數學期望並不等於 ,因此 不是 的無偏估計值。如果用 來估計 ,必然在結果中含有一個系統誤差 。為了得到參數 的無偏估計值,只要把 乘以 就可以了,這就是說:
總體標準偏差
總體標準偏差其中, 稱為總體方差。為了區別總體標準偏差,用S作為總體標準偏差σ的無偏估計值,則有:
總體標準偏差
總體標準偏差
總體標準偏差這就是著名的貝塞爾公式。對同一被測量作n次測量,表征測量結果分散性的量s,可用貝塞爾公式算出。稱s為單次測量的標準偏差,一般稱其為實驗標準偏差,是表征測量結果分散性的重要參數。式中x為n次測量的算術平均值,xi-x=νi是殘差,n-1為自由度。可以看出,計算實驗標準偏差的3個重要參數是算術平均值、殘差和自由度。而σ為總體標準偏差,s為實驗標準偏差, 為總體方差, 為實驗方差。
總體標準偏差當n→∞時, =μ,說明實驗標準偏差s與總體標準偏差σ的原始定義是一致的。而在n有限時,實驗標準偏差s計算所得的值只是總體標準偏差σ的一個估計值 。
意義
總體標準偏差σ的物理意義是:當一台確定的儀器對同一物理量進行n次重複測量時,表述該測量列隨機誤差的分散程度,σ越小。說明該儀器的精密度越好,反之精密度越差;或者,當用一台確定的儀器對一批 個(或n組)零件進行測量時,表達該組被測件隨機誤差的分散程度, σ越小,說明該批零件的工藝穩定性好,反之,工
藝穩定性差。
可以看出,通過測量誤差引出了算術平均值,通過算術平均值引出了殘差和自由度, 進而引出了實驗標準偏差,實驗標準偏差用來表征對同一被測量作n次測量結果的分散性。而表征合理地賦予被測量之值的分散性,並與測量結果相聯繫的參數就是測量不確定度。因此,實驗標準偏差是測量不確定度評定的重要參數,也是測量不確定度評定的理論基礎。
無論是總體標準偏差σ還是實驗標準偏差s,都不是一個具體的誤差。它的數值大小隻不過說明在一定條件下進行一系列測量時, 隨機誤差出現的機率密度分布情況。σ值小表明測量值比較集中,σ值大表明測量值比較分散。所以,在測量中,取測量列的算術平均值作為測量結果,用實驗標準偏差表征測量值的分散程度。因此,算術平均值和實驗標準偏差是測量不確定度評定的數字特徵。
在實踐中的套用
用於測試儀器設備的精密度的評定
在編制儀器的檢定規程時,除通過一定的分析計算,最終還須進行一系列的實驗測試。用n次測試結果計算出 σ值,然後根據需要給定其極限誤差。如我廠自製一台稱重量用的測力裝置。被測參數為2000kg士15% 。該裝置的允許極限誤差究竟給多大才合理,保證使用要求?我們用三等測力計對其進行20次等精度測量。算出 σ=4.54,我們取極限誤差為3σ=15kg,證明該裝置能滿足使用要求。
用於工藝穩定性的評定
當儀器不變,被測對象改變,即用同一台儀器對同一批零件進行n件(或n組)測量,根據測量結果計算出 σ,以便進行工藝調整,尤其對特殊精密加工設備大修後的考核。除按規程經機修檢驗外,一般都要試加工零件。送計量室,給出結論。這裡就不能以一兩件零件來評定,而應重複加工數件,用確定修後結果。
精度檢定
當被測零件(或參數)精度特別高,又無更高精度的儀器可供選擇,而在已有的幾台同類儀器上分別測量時。其結果差異又較大(儀器均合格),則可對幾台儀器進行等精度檢定,分別計算出各自的σ值。在別無選擇的情況下,即可選其中σ最小的一台用於該零件的測量。
用於測量爭議的間接仲裁
當對一批測量值供需雙方有爭議,又不便對提出異議方的實物進行複測時,則可從被訴方同一批尚存的樣件中抽取n個子樣進行複測(或從原記錄中抽取n個數值)計算出σ值(為慎重,可同時覆核一下計量器具的合格性),再根據對方提供的數據算出σ1值。如果被訴方的計量器具合格,且選擇符合誤差要求,當出現 σ1>>σ 時,即可斷定σ1方的測量不準。利用這種分析方法可避免盲目退貨或盲目派員處理。如寶鋼就曾用此方法處理一起涉外爭議:一批出口鋼坯,對方提出異議,他們在確認計量器具合格的基礎上,從未發出的同一批中抽取32件進行複測,算出σ=0.03,據對方提供的數據算出σ1=0.21,σ1>> σ,因此確認對方測量有誤。對方終於接受了寶鋼的結論,撤銷了異議 。

