矩陣的線性運算
矩陣的加法和數乘運算,統稱為矩陣的 線性運算。
矩陣加減法
定義 設
線性運算
線性運算
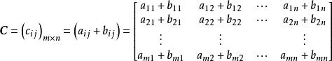
線性運算是兩個 型矩陣,則矩陣
線性運算
線性運算
線性運算稱為 和 的和,記為
線性運算矩陣的加法就是矩陣對應元素相加,當然,相加的矩陣必須要有相同的行數和列數,即只有同型矩陣方可相加。
由於矩陣加法歸結為它們元素的加法,即數的加法,故不難驗證矩陣加法滿足:
線性運算(1)結合律:
線性運算(2)交換律:
線性運算明顯地,對零矩陣,有 。
定義2 矩陣
線性運算
線性運算
線性運算稱為矩陣 的負矩陣,記為。
線性運算顯然,有 一0,從而可定義矩陣減法為
線性運算
線性運算
線性運算我們可以將負矩陣 看做是實數一1和矩陣 相乘所得,從而抽象出一般數和矩陣的數量乘法。
矩陣數量乘積
定義 矩陣
線性運算
線性運算
線性運算
線性運算
線性運算
線性運算
線性運算稱為矩陣 與數 的數量乘積,記為。換句話說,用數 乘以矩陣 ,就是把矩陣的每個元素都乘上 。
不難驗證。數量乘積滿足下列運算規律:
線性運算(1) (結合律);
線性運算(2) ;
線性運算(3) 。
向量的線性運算
向量的加法和數乘運算,統稱為 向量的線性運算。
向量的加減法
線性運算
線性運算
線性運算
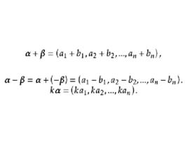
線性運算設n維向量 , ,規定向量 與 的和為
線性運算
線性運算
線性運算規定向量 與 的差為
線性運算向量的數乘
線性運算
線性運算
線性運算
線性運算設n維向量 ,各分量乘以數k所構成的向量,稱為數k與向量的數量乘積,簡稱數乘,記做 ,即
線性運算容易驗證得到:
線性運算(1 ) (加法交換律);
線性運算(2) (加法結合律);
線性運算(3) ;
線性運算(4) ;
線性運算(5) (數乘分配律);
線性運算(6) (數乘分配律);
線性運算(7) (數乘結合律);
線性運算(8) 。
線性運算
線性運算上述定義與性質是針對行向量而言的,當與為列向量時,有類似結論。

