定義
若干個同維數的行向量(或同維數的列向量)所組成的集合叫做 向量組。
線性表出
線性表出
線性表出對n維向量 和 ,如果存在實數 ,使得
線性表出
線性表出
線性表出
線性表出
線性表出稱向量 是向量 的 線性組合,或者說向量 可由 線性表出(示)。
線性表出
線性表出
線性表出
線性表出
線性表出
線性表出
線性表出設有兩個n維向量組 ;如果 中每個向量 都可由 中的向量 線性表出,則稱向量組 可由向量組 線性表出。
線性表出
線性表出如果 、 這兩個向量組可以互相線性表出,則稱這兩個 向量組等價。
註:(1)等價向量組具有傳逆性、對稱性、反身性;
(2)向量組和它的極大線性無關組是等價向量組;
(3)向量組的任意兩個極大線性無關組是等價向量組;
(4)等價的向量組有相同的秩。但秩相等的向量組不一定等價。
例題解析
線性表出
線性表出
線性表出
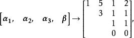
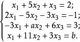
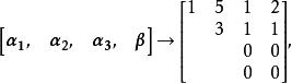
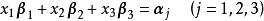
線性表出例1 已知 ,試問當a,b取何值時 可以由 線性表示,並寫出其表達式。
線性表出解: 設 ,按分量寫出,即有
線性表出
線性表出對增廣矩陣 作初等行變換,有
線性表出
線性表出
線性表出
線性表出如果b≠4,方程組無解, 不能由 線性表出。
線性表出
線性表出
線性表出如果b=4,秩 方程組有解, 可由 線性表出。
線性表出
線性表出(1)當 時,
線性表出
線性表出方程組有唯一解: ,即。
線性表出
線性表出(2)當 時,
線性表出
線性表出方程組有無窮多解: ,即,t為任意實數。
線性表出例2 設有向量組(1): ;
線性表出(2): 。
試問:當a為何值時,向量組(1)與(2)等價?當a為何值時,向量組(1)與(2)不等價?
分析: 所謂向量組(1)與(2)等價,即向量組(1)與(2)可以互相線性表出,如果方程組
線性表出
線性表出
線性表出有解,則 可以由 線性表出。
那么,如果對同一個a,三個方程組
線性表出
線性表出
線性表出均有解,則說明向量組(2)可以由向量組(1)線性表出
線性表出解: 對 作初等行變換,有
線性表出
線性表出
線性表出
線性表出
線性表出
線性表出
線性表出
線性表出
線性表出
線性表出那么,由方程組 知,只要方程組總有唯一解,即時,必可由線性表出,而時,方程組無解,不能由線性表出。
線性表出
線性表出
線性表出
線性表出由方程組知,方程組總有解,即必可由線性表出。
線性表出
線性表出
線性表出
線性表出由方程組知,只要,方程組就有解,就可由線性表出,
線性表出因此,當時,向量組(2)可由向量組(1)線性表出。
反之,由於行列式
線性表出
線性表出
線性表出
線性表出
線性表出故,三個方程組恆有解,即,向量組(1)總可由向量組(2)線性表出,因此,時向量組(1)與(2)等價。
線性表出
線性表出
線性表出而時,不能由線性表出,向量組(1)與(2)不等價。
評註: 若未知向量的坐標而要判斷能否線性表出的問題,通常是轉換為非齊次線性方程組是否有解的討論,如果向量的坐標沒有給出而問能否線性表出,通常用線性相關及秩的理論分析、推理。

