簡介
維格納 3-j 符號也稱3-j符號,與量子力學中的克萊布希-高登係數有密切關係。
維格納3-j符號反演關係
維格納3-j符號對稱性
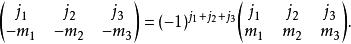
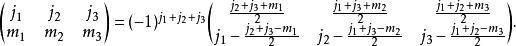
維格納3-j符號位相
維格納3-j符號
維格納3-j符號
維格納3-j符號
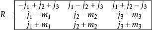
維格納3-j符號里奇對稱性包括72類對稱性 symmetries.
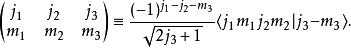
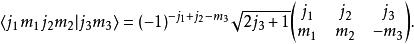
維格納3-j符號克萊布希-高登係數
在量子力學中, 克萊布希-高登係數( Clebsch–Gordan coefficients,簡稱 CG 係數,又稱 向量耦合係數等)是兩個角動量耦合時,它們的本徵函式的組合係數。
從數學的角度,克萊布希-高登係數出現在緊李群的表示論中,它研究的是兩個不可約表示的張量積如何分解成不可約表示的直和。
克萊布希-高登係數因阿爾弗雷德·克萊布希和保羅·哥爾丹而得名。
角動量
角動量在物理學中是與物體到原點的位移和動量相關的物理量。在經典力學中可被定義為物體到原點的位移(矢徑)和其動量的叉積:
維格納3-j符號
維格納3-j符號
維格納3-j符號
維格納3-j符號
維格納3-j符號
維格納3-j符號
維格納3-j符號
維格納3-j符號
維格納3-j符號其中,表示以質點到旋轉中心(軸心)的距離(標量值可以理解為半徑的大小),方向由原點指向物體位置的矢量(即矢徑),表示角動量,表示線速度,表示動量,表示轉動慣量,表示角速度(矢量)。角動量是矢量,且是軸矢量。其量綱為,SI單位制中單位為。
角動量的方向:角動量是兩個矢量的叉乘,在右手坐標系裡遵循右手螺旋法則,即右手四指指向矢徑的方向,轉過一個小於180度的平面角後四指指向動量的方向,則大拇指所指的方向為角動量的方向。
參見
•角動量算符及其一般理論
