簡介
油田( 或油井)開發到一定階段,其含水達到某一數值時,投入與產出相抵,含水如再升高,就出現虧損,油田( 或油井)此時的含水率稱為含水經濟極限。我國多數老油田都已經過二三十年的開發, 分別進入高含水和特高含水期。在這種情況下, 對老油田各類油井在一定條件下的經濟極限含水進行研究, 掌握原油成本變化規律, 並對高含水低效或無效井採取措施, 這對提高整個油田經濟效益是很有必要的。
基本原理
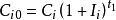
經濟極限含水分析的基本原理是盈虧平衡原理, 盈虧分析是對產品產量、成本和利潤進行綜合分析的一種方法, 目的是通過盈虧分析確定盈虧平衡點。盈虧平衡分析的基本公式是:
PX = VX + f
式中:
X———產品銷售量, 10t;
P———產品價格, 元/ t;
V———單位產品可變成本,元/ t ;
f———產品固定成本總額, 萬元。
根據以上方法, 可建立油田以單井為計算單位的投入產出盈虧分析模型:
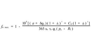
經濟極限含水考慮稅金、成本上漲因素, 可得計算經濟極限含水的公式:
經濟極限含水式中:
f ———經濟極限含水, % ;
q———單井日產液量, t/ d;
τ ———時率;
C ———單井可變成本, 萬元;
C———單井固定成本, 萬元;
i ———單井可變成本上漲率;
i———單井固定成本上漲率;
t———預測年相距基礎年的年數;
αo ———原油商品率;
po ———油價,元/ t ;
R———噸油稅金, 元/ t。
計算公式的具體說明
為了較全面的考慮油田油井費用的差別, 擬從兩方面研究單井費用, 即常規成本費用和最低成本費用, 常規成本費用是指按現在成本費用扣除儲量使用費的部分。最低成本費用是僅計算與油井生產過程直接相關的成本費用部分。
(1) 按常規成本計算。老油田中老開發井與新開發井不同, 老井的開採時間長, 其鑽井等基本建設投資都已以折舊的形式得以補償, 在原油成本中可以不予考慮。所謂新井是指開採年限不滿8 年的油井, 它們的投資必須考慮。
①老油田老井。
老油田老井可變成本包括材料費、燃料費、動力費、注水費和油氣處理費。儲量使用費主要用於抵償勘探投資, 老油田此項費用可以不予考慮。分析單井可變成本各年平均值與日產液量的關係, 可建立如下關係式:
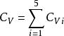
經濟極限含水
經濟極限含水原油成本的變化還受物價變動因素的影響, 為使分析能反映目前情況, 需消除物價變動因素的影響, 可用下式計算:
經濟極限含水式中:
C ———歷史上某一年實際的原油可變成本, 萬元;
C———相對於基準年價格的成本, 萬元;
t ———實際成本發生年相距基準年的年數;
I———相對於基準年的物價上漲數。
對於不同的採油方式, 原油成本的差別除了因液量不同而使可變成本有差別外, 固定成本的主要區別是井下作業費。抽油井和電泵井井下作業費的主要區別在於檢泵和下泵的費用。可採用先將兩種抽油設備相關費用從固定成本中扣除, 然後再將各種設備的費用按單井定額加入固定成本的做法。老井固定成本計算公式如下:
經濟極限含水式中:
C———固定成本, 包括生產工人工資及附加費、井下作業費、修理費、油田維護費、測井試井費、其他開採費和管理費用等( 油田維護費中如含有新井的投資, 則應扣除, 只計算老油田調整、改擴建等所必須的維護費) ;
E———井下作業費中下大泵、下電泵、檢泵費;
J———抽油設備折舊及檢泵定額費用。
②老油田新井。
新井經濟極限含水的計算主要是針對有些新井投產以後, 含水上升很快、效益差的情況。在未鑽新井前, 結合配產, 應對新井投產後投資回收期內含水作一預測, 少打或不打效益差的新井。老油田新井可變成本的計算方法與老井相同。固定成本除與老井相同的部分外, 應考慮在投資回收期內回收投資及貸款利息, 計算公式如下:
經濟極限含水式中:
L———油水井係數;
I ———單井鑽井投資, 萬元;
I———單井地面建設投資,萬元;
R———貸款利息數;
T———投資回收期年限。
(2) 按最低成本測算。常規原油成本中有許多成本項目與油井採油過程密切相關, 有些費用則是間接相關的。如用最低成本來計算, 可得出採油井經濟極限含水值, 其中可變成本不變, 固定成本中扣除油田維護費和測井試井費等, 僅取工人工資、抽油設備折舊費、檢泵費和其他開採費四項, 如下式:
經濟極限含水(3) 稅金的計算。按噸油稅金計算的公式為:
RT = pY (1 + 7% + 3% ) + ZYSE
式中:
RT———噸油稅金, 元/ t ;
p———油價, 元/ t ;
Y———增值稅稅率;
ZYSE———噸油資源稅, 元/ t。
增值稅稅率隨著油價的變化而變化。城市維護建設稅和教育費附加以增值稅為計稅依據, 此處分別取值7%和3%。

