分類
一個由若干元件組成的系統,在受到外力後會產生變形。變形包括兩部分:一是元件本身的彈性或塑性變形,另一是不考慮元件的這種變形時整個系統巨觀外形的改變。根據後者,系統可分成機構、結構和瞬時可變結構三類:
機構
它是在外力作用下不能保持巨觀外形的系統。如圖1所示的四連桿平面系統,在外力P作用下,由於桿件能轉動而使系統變形。
結構的幾何不變性結構
即幾何不變系統。在不考慮元件自身變形的前提下,載荷的作用不能使這種系統的巨觀外形發生任何改變。結構只起承受和傳遞外力的作用。圖2所示的桿繫結構就屬於此類。
結構的幾何不變性瞬時可變結構
在外力開始作用的瞬間,它象機構一樣發生變形,但經歷一定的變形後,它又能象結構一樣承受外力。圖3所示的直線二鉸接桿就是一種瞬時可變結構:開始受到垂直於桿的外力P作用的瞬時,桿內只產生沿水平方向的反力,它們不能反抗外力,因此,桿將繞支點轉動。但當桿轉過一定角度後,A、B桿中的內力NA,NB的垂直分量就平衡外力P,這時桿系便成為幾何不變的。
結構的幾何不變性根據結構和坐標系之間是否有相對位置變化,可將結構分為可移動結構和不可移動結構兩類。橋樑結構對於地球就是不可移動結構,而汽車對於地球則是可移動結構。
判斷方法
判斷結構幾何不變性和可移動性的方法很多,主要有以下三種:
組成法
不在一直線上的三個鉸接桿所組成的平面系統是最簡單、最基本的幾何不變系統(圖4a)。在此系統上每增加一個鉸鏈和兩個桿,就得到新的幾何不變系統。如果將它連線在一個固定的基礎或系統上,則它既是幾何不變的又是不可移動的。空間基本幾何不變系統由不在一個平面上的四個鉸鏈和六個桿組成(圖4b)。在此系統上每增加不在一個平面上的三個桿和一個鉸鏈,就得到新的幾何不變系統。可移動和不可移動的含義和平面結構相同。
結構的幾何不變性桿和鉸鏈關係法
幾何不變鉸接系統的桿數N和鉸數n有下列的關係:
結構的幾何不變性為使系統具有幾何不變性,除N和應滿足上述關係外,還必須對桿件作合理安排。圖5表示兩個具有相同桿數和鉸數的系統。圖5a的系統由於安排合理而具有幾何不變性,因而屬結構;圖5b則由於安排不合理而成為機構。
結構的幾何不變性平衡判斷法
此法的根據是物體的平衡條件。若系統在任何外力作用下都能保持平衡,它就是幾何不變的。以平面結構為例,要使結構上任何一點固定不動,則作用於該點的所有外力必須滿足平衡方程
結構的幾何不變性其中∑X為x方向的所有分力之和;∑Y為y方向的所有分力之和。以圖6a所示的二鉸接桿系統為例,在鉸點O受到外力Px和Py後,固定物體對稈OA和OB的反作用力為R1和R2,並且它們與x軸的夾角分別為θ1和θ2以(圖6b)。由平衡方程可建立下列一組關係式:
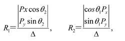
結構的幾何不變性解出反作用力R1和R2為:
結構的幾何不變性或
結構的幾何不變性如果安排合理,則Δ≠0,從而R1和R2為有限值,系統成為幾何不變的;如果θ2=π+θ1,則Δ=0,從而得出R1=∞,R2=∞。在此情況下,角θ1,和角θ2。成為瞬時可變的。
對於複雜系統,必須把它分成若干部分並遂一檢查,才能最終判斷整個系統是否幾何不變。
