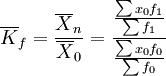
計算公式
結構影響指數的計算公式是:
結構影響指數編制方法
現根據表所示資料,編制結構影響指數並進行分析 。
表某物流配送中心職工人數及平均工資資料
| 類別 | 工人數(人) | 月平均工資(元) | ||
| f_0 | f_1 | x_0 | x_1 | |
| 技工 | 300 | 400 | 1400 | 1500 |
| 輔工 | 200 | 600 | 800 | 900 |
| 合計 | 500 | 1000 | 1160 | 1140 |
結構影響指數
結構影響指數=1040-1160=-120(元)
即排除組平均工資變動的影響,純粹由於總體結構變動的影響,使總平均工資報告期比基期下降10.34%,人均減少了120元。
結構關係
結構影響指數、可變指數與固定結構指數的關係
可變指數、固定結構指數和結構影響指數之間所存在的聯繫,與指數體系不同。指數體系及其絕對值的分析,是用來研究社會經濟現象總體的總動態中各因素——包括數量指標因素和質量指標因素的變動影響作用;這裡所講的各個指數之間和各個絕對值之間的相互聯繫,是在分組的條件下分析平均指標(質量指標)變動中各個因素的影響作用——包括各組平均指標水平的變化和總體內部結構變動對平均指標的影響。因此。不論在分析內容和作用上都是有區別的。
可變指數=固定結構指數×結構影響指數。
