定義和例子
定義1
累次極限
累次極限
累次極限
累次極限
累次極限 設 , 在 軸、 軸上的投影分別為 ,即
累次極限
累次極限
累次極限
累次極限
累次極限
累次極限 分別是 的聚點。若對每一個 ,存在極限 ,它一般與 有關,故記作
累次極限 如果進一步還存在極限
累次極限
累次極限
累次極限
累次極限
累次極限 則稱此極限 為 先對 ,後對 的 累次極限 ,記作
累次極限
累次極限
累次極限 類似地可以定義先對 後對 的累次極限
累次極限
累次極限
累次極限 對於兩個自變數 同時以任何方式趨於 ,即
累次極限 這種極限也稱為 重極限。
累次極限與重極限是兩個不同的概念,它們的存在性沒有必然的蘊含關係。下面兩個例子將說明這一點。
例1
累次極限 設 ,它關於原點的兩個累次極限分別為
累次極限 與
累次極限
累次極限 當沿斜率不同的直線 ,容易驗證所得極限也不同。因此該函式的重極限不存在。
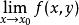
例2
累次極限
累次極限
累次極限
累次極限
累次極限
累次極限
累次極限 設 ,它關於原點的兩個累次極限都不存在。這是因為對任何 ,當 時 的第二項不存在極限。同理,對任何 ,當 時 的第一項也不存在極限。但是由於
累次極限
累次極限
累次極限 故 的重極限存在,且
重極限與累次極限之間的聯繫
定理1
累次極限
累次極限 若 在點 存在重極限
累次極限 與累次極限
累次極限 則它們必相等。
推論1
若累次極限
累次極限 和重極限
累次極限 都存在,則三者相等。
推論2
若累次極限
累次極限
累次極限 存在但不相等,則重極限
必不存在。定理1保證了在重極限與一個累次極限都存在時,它們必相等,但它們對另一個累次極限的存在性卻得不出什麼結論。
