概述
【英文名】RADIXASTERIS
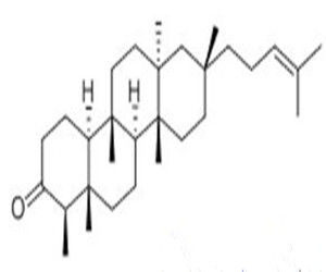
紫菀酮【別名】紫苑、小辮兒、夾板菜、驢耳朵菜、軟紫菀
【來源】本品為菊科植物紫菀AstertataricusL.f.的乾燥根及根莖。春、秋二季採挖,除去有節的根莖(習稱“母根”)和泥沙,編成辮狀曬乾,或直接曬乾。
【製法】
紫菀:除去雜質,洗淨,稍潤,切厚片,乾燥。
蜜紫菀:取紫菀片,照蜜炙法(附錄ⅡD)炒至不粘手。
【性狀】本品根莖呈不規則塊狀,大小不一,頂端有莖、葉的殘基,質稍硬。根莖簇生多數細根,長3~15cm,直徑0.1~0.3cm,多編成辮狀;表面紫紅色或灰紅色,有縱皺紋;質較柔韌。氣微香,味甜、微苦。
【性味歸經】辛,苦,溫。歸肺經。
【功能主治】潤肺下氣,消痰止咳。用於痰多喘咳,新久咳嗽,勞嗽咳血。
【用法用量】5~9g。
【貯藏】置陰涼乾燥處,防潮。
【摘錄】 《中國藥典》
鑑別
(1)本品根橫切面:表皮細胞多萎縮或有時脫落,內含紫紅色色素。下皮細胞1列,略切向延長,側壁及內壁稍厚,有的含紫紅色色素。皮層寬廣,有細胞間隙;分泌道4~6個,位於皮層內側;內皮層明顯。中柱小,木質部略呈多角形;韌皮部束位於木質部弧角間;中央通常有髓。根莖表皮有腺毛,皮層散有石細胞及厚壁細胞。根及根莖薄壁細胞含菊糖,有的含草酸鈣簇晶。
(2)取本品粉末2g,加水20ml,置60℃水浴上加熱10分鐘,趁熱濾過,放冷。取濾液2ml,置具塞試管中,用力振搖1分鐘,產生持久性泡沫,10分鐘內不消失。
(3)取本品粉末2g,加石油醚(60~90℃)30ml,加熱回流30分鐘,濾過,濾液濃縮至1ml,作為供試品溶液。另取紫菀酮對照品,加氯仿製成每1ml含1mg有溶液,作為對照品溶液。照薄層色譜法(附錄ⅥB)試驗,吸取上述兩種溶液各2μl,分別點於同一矽膠G薄層板上,以石油醚(60~90℃)-醋酸乙酯(9:1)為展開劑,展開,取出,晾乾,噴以二硝基苯肼試液,日光下檢視。供試品色譜中,在與對照品色譜相應的位置上,顯相同的黃色斑點。
含量測定
取本品粉末(過40目篩)約1g〔同時另取本品測定水分(附錄ⅨH第一法)〕,精密稱定,精密加氯仿50ml,稱定重量,40℃溫浸1小時後,超聲處理1小時,取出,冷卻,再稱定重量,用氯仿補足減失的重量,搖勻,濾過,精密量取續濾液25ml,揮乾,殘渣用氯仿溶解並轉移至5ml量瓶中,加氯仿至刻度,作為供試品溶液。另取紫菀酮對照品適量,精密稱定,加氯仿溶解,製成每1ml含1mg的溶液,作為對照品溶液。照薄層色譜法(附錄ⅥB)試驗,精密吸取供試品溶液10μl、對照品溶液2μl和4μl,分別交叉點於同一矽膠G薄層板上,以石油醚(60~90℃)-醋酸乙酯(19:1)為展開劑,展開,取出,晾乾,噴以10%硫酸乙醇溶液,110℃加熱至斑點顯色清晰,取出,在薄層板上覆蓋同樣大小的玻璃板,周圍用膠布固定,照薄層色譜法(附錄ⅥB薄層掃描法)進行掃描,波長:λs=390nm,λR=650nm,測量供試品吸收度積分值與對照品吸收度積分值,計算,即得。
本品按乾燥品計算,含紫菀酮(C30H50O)不得少於0.20%。

