納維-斯托克斯方程
正文
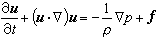
牛頓第二定律在不可壓縮粘性流動中的表達式。簡稱N-S方程。此方程是法國力學家、工程師C.-L.-M.-H.納維於1821年創立,經英國物理學家G.G.斯托克斯於1845年改進而確定的。它的矢量形式為:






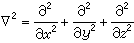
為拉普拉斯算符。
為指定點處由於時間改變而引起的速度變化率,稱為當地加速度;(u·墷)u 為指定瞬時由於空間位置改變而引起的速度變化率,稱為遷移加速度;
與ν墷2u分別為作用於單位質量液體表面的合壓力與合粘性力;(ux,uy,uz)及(fx,fy,fz)為u及f在直角坐標中的投影。 在某些情況下,合粘性力很小,可忽略不計,於是N-S方程簡化為理想液體的歐拉方程。即:


