概念介紹
等額本息還款法即借款人每月按相等的金額償還貸款本息,其中每月貸款利息按月初剩餘貸款本金計算並逐月結清。由於每月的還款額相等,因此,在貸款初期每月的還款中,剔除按月結清的利息後,所還的貸款本金就較少;而在貸款後期因貸款本金不斷減少、每月的還款額中貸款利息也不斷減少,每月所還的貸款本金就較多。
這種還款方式,實際占用貸款的數量更多、占用的時間更長,同時它還便於借款人合理安排每月的生活和進行理財(如以租養房等),對於精通投資、擅長於“以錢生錢”的人來說,無疑是最好的選擇。
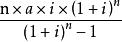
等額本息還款的計算公式:等額本息還款法每期還款額=貸款本金×期利率×(1+期利率)^貸款期數/ [ (1+期利率)^貸款期數-1]
計算公式
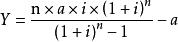
設貸款額為a,月利率為i,年利率為I,還款月數為n,每月還款額為b,還款利息總和為Y
1:I=12×i
2:Y=n×b-a
3:第一月還款利息為:a×i
第二月還款利息為:〔a-(b-a×i)〕×i=(a×i-b)×(1+i)^1+b
第三月還款利息為:{a-(b-a×i)-〔b-(a×i-b)×(1+i)^1-b〕}×i=(a×i-b)×(1+i)^2+b
第四月還款利息為:=(a×i-b)×(1+i)^3+b
.....
第n月還款利息為:=(a×i-b)×(1+i)^(n-1)+b
求以上和為:Y=(a×i-b)×〔(1+i)^n-1〕÷i+n×b
4:以上兩項Y值相等求得
等額本息法月均還款:
等額本息法支付利息:
等額本息法還款總額:
注:a^b表示a的b次方。
據此公式可以用excel製作房貸計算器。
適用人群
適合人群:家庭收入較為穩定的人群,特別是暫時收入比較少,經濟壓力比較大的人士。因為雖然每個月還款金額相同,但是所含本金和利息的比例不同,初期所還部分,利息占較大比例,而貸款本金所占的比例較低,不適合有提前還貸打算的人士。
優缺點
優點
每月還款額相等,便於購房者計算和安排每期的資金支出。因為平均分攤了還款金額,所以還款壓力也平均分攤,特別適合前期收入較低,經濟壓力大,每月還款負擔較重的人士。
缺點
在每期還款金額中,前期利息占比較大,後期本金還款占比逐漸增大。總體計算下來,利息總支出是所有還款方式中最高的。
相關方法
等額本金法
計算公式
設貸款額為a,月利率為i,年利率為I,還款月數為n,an第n個月貸款剩餘本金a1=a,a2=a-a/n,a3=a-2*a/n...以次類推
還款利息總和為Y
每月應還本金:a/n
每月應還利息:an*i
每期還款a/n +an*i
支付利息Y=(n+1)*a*i/2
還款總額=(n+1)*a*i/2+a
比較
1、計算方法不同。
等額本息還款法。即借款人每月以相等的金額償還貸款本息。
等額本金還款法。即借款人每月等額償還本金,貸款利息隨本金逐月遞減,
2、兩種方法支付的利息總額不一樣。
在相同貸款金額、利率和貸款年限的條件下,“本金還款法”的利息總額要少於“本息還款法”;
3、還款前幾年的利息、本金比例不一樣。
“本息還款法”前幾年還款總額中利息占的比例較大(有時高達90%左右),“本金還款法”的本金平攤到每一次,利息借一天算一天,所以二者的比例最高時也就各占50%左右。
4、還款前後期的壓力不一樣。
因為“本息還款法”每月的還款金額數是一樣的,所以在收支和物價基本不變的情況下,每次的還款壓力是一樣的;“本金還款法”每次還款的本金一樣,但利息是由多到少、依次遞減,同等情況下,後期的壓力要比前期輕得多。
等額本息還款法:本金逐月遞增,利息逐月遞減,月還款數不變。
即借款人每月按相等的金額償還貸款本息,其中每月貸款利息按月初剩餘貸款本金計算並逐月結清。
等額本金還款法:本金保持相同,利息逐月遞減,月還款數遞減。適合於有計畫提前還貸。
即借款人每月按相等的金額(貸款金額/貸款月數)償還貸款本金,每月貸款利息按月初剩餘貸款本金計算並逐月結清,兩者合計即為每月的還款額。
按照整個還款期計算,等額本息還款法支付的利息多於等額本金還款法。
等額本金還款法(利隨本清法),即每月等額償還貸款本金,貸款利息隨本金逐月遞減,每月還款額計算公式為:
每月還款額=貸款本金/貸款期月數+(本金-已歸還本金累計額)×月利率
等額本息還款法,即貸款期每月以相等的額度平均償還貸款本息,每月還款計算公式為:
每月還款額=貸款本金×月利率×(1+月利率)還款月數/[(1+月利率)還款月數-1]
兩種還款方式中,等額本金還款法每期歸還本金的數額是相等的,而等額本息還款法每期歸還的本息之和的數額是相等的,但是銀行都是按當年實際占用銀行貸款額和規定的利率計算應收取的利息。
