簡介
等溫吸附中表示吸附量與溶液濃度或氣體壓力關係的公式叫等溫吸附式。這種關係用圖來表示叫等溫吸附曲線。上述物理量要給出一般的關係式是困難的。多孔質的固體吸附可採用Frundlich’s吸附實驗,接近於單分子層的飽和吸附服從Langmuir’s吸附等溫式。非多孔質固體粉末的表面吸附多數是多分子層吸附,其吸附等溫曲線呈S形,用BET多分子層吸附等溫式才適用。
分類
在水處理中,絕大多數具有代表性的雜質的吸附平衡關係式均為非直線型。等溫吸附曲線類型很多,選定常用的幾種進行分述。
Langmuir吸附等溫線
吸附等溫式是從動力學的觀點出發,通過假設條件而推導出來的單分子吸附公式:
1) 吸附劑表面的吸附能是均勻分布的並且吸附能為常數。
2) 被吸附在吸附劑表面的溶質分子只有一層,為單分子吸附;當達到單層飽和時,其吸附量為最大。
3) 被吸附在吸附劑表面上的溶質分子不再遷移。
由上述假設條件,Langmuir吸附等溫式可表達為:
等溫吸附曲線q=
式中a,b為常數。
為了方便計算,一般將上式改為倒數式,可求a,b的值。
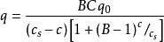
BET吸附等溫線
BET公式表示吸附劑上有多層溶質分子被吸附的吸附模式,各層的吸附符合Langmuir吸附公式,可表示為:
等溫吸附曲線式中 q——單分子吸附層的飽和吸附量;
Cs——吸附質的飽和濃度,g/L;
B——常數。
為計算方便,可將上式改為倒數式,利用這個關係可以求出B和q。
Frundlich吸附等溫線
Frundlich等溫式是另外一種吸附等溫式,是不均勻表面能的特殊例子,它基本上屬於經驗公式,常被用來圖解試驗結果、描述數據、進行各個實驗結果的比較,一般用於濃度不高的情況。其表達式為:
等溫吸附曲線式中 q——吸附量;
c——為吸附質平衡濃度,g/L;
K,n——為常數。
通常情況下,將上式改寫為對數式,把C和與之對應的q點繪在雙對數坐標紙上,便得到一條近似的直線。

