基本性質
特性吸附概念的產生是為了解釋相同濃度的不同電解質在汞電極上的電毛細曲線不同而提出的。水溶液中鈉和鉀的鹵化物在比零電荷電勢更正的地方。電毛細曲線出現的這些不同,說明電極與陰離子之間有相互作用。並發現這種效應越大,陰離子的半徑越大,所以產生了特性吸附的離子部分或全部失去水分子的思想。
特性吸附的程度隨電解質溶液濃度不同而變化,零電荷電勢也會發生變化,
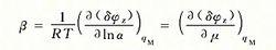
這就是Esin-Mankou效應,用Esin-Mankou係數β表示:
特性吸附φ在沒有特性吸附的時候,這一微商等於零。對於陰離子吸附,當電荷密度不變,零電荷電勢向負方向移動以抵消吸附。對於陽離子吸附,假設電荷密度不變φ,零電荷電勢向正方向移動。在水溶液中,特性吸附只發生在零電荷電勢附近,遠離零電荷電勢φ,溶劑分子受電極的引力很大,很難將它們擠掉。
陰離子比陽離子更多地發生特性吸附,這一現象可以解釋為:按照自由電子模型,金屬晶格可以看成是在自由運動著的電子海洋中的陽離子網路結構,很自然地認為溶液中的陰離子會受到更大的引力。
吸附等溫線
吸附程度與電解質溶液濃度有關,特性吸附離子的表面覆蓋度可以用單分子層吸附等溫線來描述。通常有三種形式的吸附等溫線。
Langmuir
Langmuir吸附等溫線如下圖所示
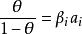
特性吸附假設吸附組分粒子間沒有相互作用,表面是光滑的,並且最終可以達到飽和吸附。如果用θ表示吸附覆蓋度的百分數,則
特性吸附式中,β是正比的能量係數;a是i組分在溶液本體的活度。
Temkin
Temkin吸附等溫線如下圖所示
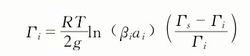
特性吸附吸附能量覆蓋度的函式,服從以下等式:
特性吸附式中,Γ為組分i的表面超量;g反映的是吸附物質彼此相互作用能的一個參數,它隨覆蓋度的不同而變化。
Frumkin
Frumkin吸附等溫線如下圖所示
特性吸附Frumkin認為吸附組分之間的相互作用是不同的:
特性吸附或
特性吸附式中,Γ是最大的表面超量;g為正,表示相互之間為引力;g為負,表示相互之間的作用力為斥力;當g=0,令Γ/Γ=θ,就能從式得到Langmuir吸附等溫式。
此外Temkin吸附等溫式是Frumkin吸附等溫式的一個特殊情況,即當Γ/Γ=0.5時,兩式相同。

