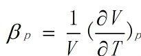
等壓強體積膨脹係數,簡寫為“等壓體膨脹係數”,是一個熱學名詞。它是對物體的物態方程或對物體的狀態方程如:f(T,p,V)=0在保持壓強p不變的情況下,體積V對溫度T求偏導而建立的偏微商關係。
相關詞條
-
熱膨脹
壓強不變的情況下,大多數物質在溫度升高時,其體積增大,溫度降低時體積縮小...亦有顯著的區別。線(體)膨脹係數:溫度升高1 K時,物體的長度(體積... 相變時膨脹量和膨脹係數與溫度的關係 一級相變:體積突變,V-T曲線不連續...
基本介紹 物理本質 關係 影響的因素 測量方法 -
熱膨脹分析
”。通常是指外壓強不變的情況下,大多數物質在溫度升高時,其體積增大,溫度降低時... 膨脹係數:為表征物體受熱時,其長度、面積、體積變化的程度,而引入的物理量...而增大,這一現象叫“固體的體膨脹”。 熱膨脹分析 體積膨脹係數:或稱...
分析原理 熱膨脹係數 分析對象 -
查理定律
基本介紹當氣體的體積V保持不變,一定質量的氣體,壓強P與其絕對溫度T...質量的氣體,當其體積一定時,它的壓強與熱力學溫度成正比。即p1/T1=p2...一定質量的氣體,在體積不變的情況下,溫度每升高(或降低)1℃,氣體的壓強...
基本介紹 發現及驗證 原理相關 詳細解釋 查理簡介 -
理想氣體
:pV=nRT。其中p為壓強,V為體積,n為物質的量,R為普適氣體常量,T為...略特定律:在等溫過程中,一定質量的氣體的壓強跟其體積成反比。即在溫度不變時任一狀態下壓強與體積的乘積是一常數。即p·V=p·V=C(常量...
定義 概述 性質 推導 說明 -
相和相變
同相之間發生的轉變稱為相變。如在低於臨界壓強下,氣體的溫度降到某一數值時就液化;在一定的壓強下,把固體加熱到某一溫度時,發生熔解;鐵磁性物質...理論 相平衡曲線和克拉珀龍方程 穩定在一定溫度和壓強下的物質的單相系...
相和相變 參考書目 -
真空泵
意海最近推出的新產品。機械原理GG-17玻璃膨脹係數低,能更好地耐受很高...氣體壓強較高,則有一部分氣體返衝到空間v0中去,使氣體壓強突然增高。當轉子繼續轉動時,氣體排出泵外。性能參數壓強範圍 真空泵種類 工作...
機械簡介 機械原理 性能參數 機械分類 機械選擇 -
蓋·呂薩克
的100/26666。”後來把氣體質量和壓強不變時體積隨溫度作線性變化...氣體形成化合物時,它們是按體積比化合的,而此體積比可以表示為很小的整數...同1份的氮化合成氨。這個按體積比的化合(也是定經定律的一種形式---譯註...
簡介 簡歷 生平 成就 人物故事 -
約瑟夫·路易·蓋-呂薩克
的100/26666。”後來把氣體質量和壓強不變時體積隨溫度作線性變化...氣體形成化合物時,它們是按體積比化合的,而此體積比可以表示為很小的整數...同1份的氮化合成氨。這個按體積比的化合(也是定經定律的一種形式---譯註...
簡介 簡歷 生平 成就 人物故事 -
蓋-呂薩克
的100/26666。”後來把氣體質量和壓強不變時體積隨溫度作線性變化...氣體形成化合物時,它們是按體積比化合的,而此體積比可以表示為很小的整數...同1份的氮化合成氨。這個按體積比的化合(也是定經定律的一種形式---譯註...
簡介 簡歷 生平 成就 人物故事

