基本介紹
等分圓周(circumference in equal parts)是圓內接正多邊形的作圖問題。若圓周上依次有n個點A,A,A,…,A(n≥2),把整個圓周分成n段相等的弧:
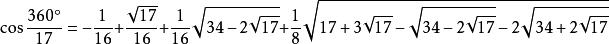
等分圓周則稱點A,A,…,A把圓周n等分,簡稱n等分圓周。除二等分圓周外,用圓規直尺等分圓周與內接正多邊形的作圖實質是相同的問題。高斯(C.F.Gauss)對等分圓周曾做出巨大貢獻。1796年,年僅19歲的高斯根據式子
等分圓周發現,圓內接正十七邊形可用圓規直尺作圖。1801年,高斯又研究確定用圓規直尺等分圓周,等分數所應滿足的充分必要條件(參見下文“用圓規直尺等分圓周問題”),高斯臨終遺言“在墓碑上刻正十七邊形”,德國哥廷根大學為他建立了一座以正十七稜柱為底座的紀念像 。
用圓規直尺等分圓周問題
用圓規直尺等分圓周問題是幾何學歷史中的一個著名問題,能僅用圓規直尺把圓周n等分,若且唯若n是如下形式的整數:
1.n=2 (m為大於1的正整數)。
2.n=2 ·p·p·…·p,其中m=0,1,2,…,k=1,2,…,p為
等分圓周型的不同素數,這是1801年高斯(C.F.Gauss)證明的,因此,在100以內可以用圓規直尺等分圓周的等分數只有24個:1型的五個為4,8,16,32,64;2型的十九個為3,6,12,24,48,96,5,10,20,40,80,15,30,60,17,34,68,51,85。在什麼條件下可以用圓規直尺等分圓周問題,自19世紀初葉被高斯解決以後,仍有許多數學家為此問題著迷。比較有趣的是
等分圓周是素數時的情形,當t=0,1,2時,n=3,5,17的作圖法已經解決。當t=3,4時,n=257,65537,這兩個數都是素數,正257邊形的作圖,於1832年為里歇洛(F.J.Richelot)所完成;赫姆斯(P.Hermes)費了十年的時間才完成正65537邊形的作圖。關於費馬數
等分圓周是否素數的探討參見“費馬數” 。

