定義
第一型曲線積分
第一型曲線積分
第一型曲線積分
第一型曲線積分
第一型曲線積分
第一型曲線積分
第一型曲線積分
第一型曲線積分
第一型曲線積分
第一型曲線積分
第一型曲線積分
第一型曲線積分
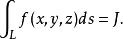
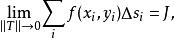
第一型曲線積分設 為平面上可求長度的曲線段, 為定義在 上的函式.對曲線 作分割 ,它把分成 個可求長度的小曲線段 , 的弧長記為 ,分割 的細度為 ,在 上任取一點 , 若存在極限
第一型曲線積分
第一型曲線積分
第一型曲線積分
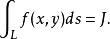
第一型曲線積分且它的值與分割及點的取法無關,則稱此極限 為 在 上的 第一型曲線積分 ,記為
第一型曲線積分
第一型曲線積分或者簡寫成。
第一型曲線積分
第一型曲線積分
第一型曲線積分
第一型曲線積分
第一型曲線積分
第一型曲線積分
第一型曲線積分
第一型曲線積分
第一型曲線積分
第一型曲線積分
第一型曲線積分
第一型曲線積分
第一型曲線積分設 為空間上可求長度的曲線段, 為定義在 上的函式.對曲線 作分割 ,它把分成 個可求長度的小曲線段 , 的弧長記為 ,分割 的細度為 ,在 上任取一點 , 若存在極限
第一型曲線積分
第一型曲線積分
第一型曲線積分
第一型曲線積分且它的值與分割及點的取法無關,則稱此極限 為 在 上的 第一型曲線積分,記為
第一型曲線積分對於一般維空間中曲線,可同樣給出定義。
物理意義
第一型曲線積分
第一型曲線積分
第一型曲線積分
第一型曲線積分
第一型曲線積分
第一型曲線積分
第一型曲線積分當 是平面上某一可求長度的曲線, 是其密度函式,當計算物體的質量問題時便須要第一型曲線積分.首先對 作分割,把分成n個可求長度的小曲線段 (i=1,2,…,n),並在每一個上任取一點 ,由於密度函式為連續函式,故當的弧長都很小時,每一小段的質量可近似地等於 ,其中 為小曲線段的長度.於是在整個上的質量就近似地等於和式
第一型曲線積分
第一型曲線積分當對的分割越來越細密時,上述和式的極限就應是該物體的質量 .
性質
第一型曲線積分具有下述一些重要性質 :
第一型曲線積分
第一型曲線積分
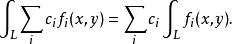
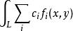
第一型曲線積分1).若存在,為常數,則也存在,且
第一型曲線積分
第一型曲線積分
第一型曲線積分
第一型曲線積分
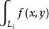
第一型曲線積分2).若曲線段由曲線首尾相接而成,且都存在,則也存在,且
第一型曲線積分
第一型曲線積分
第一型曲線積分
第一型曲線積分
第一型曲線積分3).若與都存在,且在上, 則
第一型曲線積分
第一型曲線積分
第一型曲線積分4).若存在,則也存在,且
第一型曲線積分第一型曲線積分的計算
第一型曲線積分
第一型曲線積分
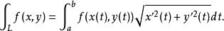
第一型曲線積分設有光滑曲線,函式為定義在上的連續函式,則
第一型曲線積分套用
下面給出二個常用的套用。
第一型曲線積分1) 空間曲線的重心坐標為
第一型曲線積分
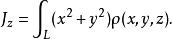
第一型曲線積分2)曲線繞z軸(x, y軸)的轉動慣量 是
第一型曲線積分