第二型曲線積分的物理意義
第二型曲線積分的物理背景是變力沿曲線做功。
空間中有一變力 F(x,y,z)=(P(x,y,z),Q(x,y,z),R(x,y,z))作用在某質點上,使其從某一曲線L的端點A,沿著L移動到另一端點B,求該力做功多少?
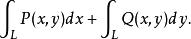
第二型曲線積分顯然在L上取一有向弧微元d s=(dx,dy,dz),則可得做功微元dw= F·d s,那么力 F移動質點從A到B所做的功為 ,若用坐標表示,則成為
第二型曲線積分這種類型的積分稱為 第二型的曲線積分。
第二型曲線積分的定義
第二型曲線積分
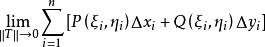
第二型曲線積分定義1設函式P(x,y),Q(x,y)定義在平面有向可求長度曲線L上,對L的任意分割T,它把L分成n個小弧段: 在每個小曲線段上任取一點 ,若極限
第二型曲線積分
第二型曲線積分存在,且與分割T和點 的取法無關,其中||T||是各小弧段長度的最大值,則稱此極限為函式P(x,y),Q(x,y)沿有向曲線L上的第二型曲線積分,記為
第二型曲線積分或
第二型曲線積分定義2 設L為空間內一條光滑有向曲線,函式P(x,y,z),Q(x,y,z),R(x,y,z)在L上有定義,則可以定義沿空間有向曲線L上的第二型曲線積分,並記為
第二型曲線積分第二型曲線積分的性質
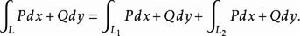
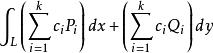
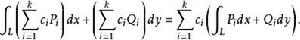
第二型曲線積分(1)如果把L分成L₁和L₂,且 (i=l,2)都存在,則
第二型曲線積分(2)設L是有向曲線弧,-L是與L方向相反的有向曲線弧,則
第二型曲線積分
第二型曲線積分
第二型曲線積分(3)若 存在,則 也存在,且
第二型曲線積分第二型曲線積分的計算
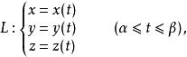
轉化為定積分,要注意的是:二型線積分的起點,對應定積分的下限,終點對應定積分的上限,即若曲線
第二型曲線積分則
第二型曲線積分
第二型曲線積分
