全息
空氣顯示屏最大優勢是人可以和空間中的像進行直接互動而不用使用類似VR的輔助顯示設備。從科幻電影《星球大戰》到《鋼鐵俠》中可以看出,人們希望可以與空間中的自由的像進行實時互動,實現夢幻般的效果。
空氣成像由於電視媒體與網路媒體的宣傳作用,使得“全息”技術深入人心。人們普遍認為“全息”技術是在空間中呈現出一個懸浮的立體影像,類似於電影《阿凡達》中所表現的立體電子沙盤。然而,非常遺憾,目前這種電影中表現的技術是無法實現的,甚至連基本的物理理論都沒有。人們在熒幕上看到的奇幻效果大部分是後期視頻合成的。還有一些舞台效果是利用反射原理實現的。把“全息”理解為空間懸浮的立體影像,其實是人們對全息的誤解。學術上的“全息”技術是由英國物理學家Denise Gabor 在1947年提出的。“全息”顧名思義,是光的全部信息的意思。光是電磁波,表示電磁波的信息包括兩部分,分別是“振幅”與“相位”。在記錄過程中,利用“干涉”原理,全息圖可以同時記錄物體發出光波的“振幅”與“相位”信息。利用“衍射”原理,全息圖可以同時再現物體的“振幅”與“相位”信息。再現“振幅”與“相位”信息在巨觀世界的表現是可以看到立體像,而非平面像。因為再現了立體的影像,所以觀眾可以從不同角度看到物體的不同側面。
全息膜成像
“全息”膜成像可以說是目前位置最常見的空中成像技術 ,它是利用平面鏡反射原理實現的。它的實現方法非常的簡單,如圖所示。
空氣成像在春晚上展示的鄧麗君與明星對唱用的就是這種方法。還有很多金字塔型展櫃的展示也採用了這種技術,通常被稱為“全息”金字塔。
這種技術存在兩個問題 :
1.由於利用反射原理,所以影像顯示在螢幕內,人無法觸碰到影像,這會大大的降低神秘感。
2. 實現方法過於簡單,且隨處可見,人們早已審美疲勞。
電離空氣成像
該技術是將皮秒雷射器發出的雷射進行聚焦,利用極高的功率瞬間電離焦點位置的空氣,讓空氣發出亮白色的光點。再利用掃描裝置讓空中光點在空間中快速移動,從而形成空間成像的效果。
這種技術存在四個主要的問題:
1.設備體積巨大
2. 顯示顏色單一,只能呈現亮白色
3.價格昂貴,目前單台設備的成本達到100萬美元
4.由於使用了超高功率的雷射器,存在一定的安全隱患
雖然雷射電離空氣成像存在一定的問題,但是該空氣成像方法是目前唯一的以空氣為介質成像的技術,與科幻電影中表現的“全息影像”最為接近。
“全息”原盤
“全息”原盤是一款非常著名的玩具 ,由兩個面對面的凹面鏡組成。其中上面的凹面鏡中間有一個開口,下面的凹面鏡完全封閉。當把一個真實物體放在下端凹面鏡的底部時,在上端凹面鏡的開口位置會出現該物體的實像,這種顯示效果非常逼真,原理如圖所示。這裡的凹面鏡經過光學設計,可以讓漂浮影像的效果更優。
空氣成像全息原盤可以實現真實的漂浮影像,但是觀看範圍不大。觀看者需要自己調整好觀察角度,才可以得到最佳的視覺體驗。
“逆反射”懸浮
逆反射屏是可以將入射光線按照入射方向進行反射的一種屏,其對比普通的鏡面反射屏的反射效果如圖所示。逆反射結構通常用作交通的警示條 。
利用逆反射屏,人們設計了懸浮顯示的系統,系
統結構如圖所示。
空氣成像這種懸浮顯示系統的原理非常好,但是現實中
並不存在理想的逆反射結構,一 般的逆反射結構都會產生強烈的雜散光,這會大幅度降低懸浮影像的清晰度。
空氣成像水霧粉塵投影
為了在空氣中成像,人們最容易想到的方法就是把介質噴射到空中,再將投影光投射到介質上,從而實現空間懸浮成像的效果。俄羅斯開發的Air display系統就將投影光投射到水霧上以實現空中懸浮影像的效果。Holovect是將光束投影到類似於粉塵的介質上,再通過高速的掃描來實現空中懸浮影像的效果。這種水霧(粉塵)投影成像技術所形成的空中影像並不穩定,圖像質量不高,解析度低而且設備體積龐大,不適合日常套用。
AI板
日本公司ASKA3D提出了一種AI板來實現空中成像,實現方式如圖所示。這種AI板由大量反射鏡膠合在一起實現。目前已投入市場使用。
空氣成像光線積分原理
北京郵電大學三維顯示技術團隊提出了光線積分成像原理,將懸浮顯示的實現難度從工藝上轉嫁到設計上。光線積分成像可以讓空間中一個點發出的光線經過大量的折射與反射單元後在另外一個位置重新交匯出該點,從而實現圖像的空中懸浮。整個光線積分處理單元中的每一個元件都可以進行批量生產。根據這一原理,眸合科技發明了Magic Screen空氣顯示屏。
空氣成像壓縮光場
壓縮光場顯示(Compressive Light Field Display)屬於計算光場顯示的一種,由MIT的Gordon Wetzstein團隊提出 。與傳統的三維顯示器件相比,壓縮光場顯示在解析度和亮度上有顯著的提高。另外,硬體設備具有更薄的外形,顯示時可以提供很寬的視角,很大的顯示景深。顯示視角(Field of View, FOV)指的是觀看者能夠自由移動觀看的視區,顯示景深(Depth of Field, DOF)則意味的是虛擬物體可以出屏或者入屏的大小。 壓縮光場顯示可以通過多層液晶的光強調製與計算機擬合處理算法相結合實現。與單純追求光學的解決方案不同,壓縮顯示針對於設計更靈活的顯示系統,生成目標光場。從效果上,每個像素都發出一條光線進行調製。與光器件方案相比,利用調製計算的方法只要顯示少量的像素就可以實現給定的光場。
空氣成像壓縮光場顯示的原型設計有多種。根據其模擬光線通過多層液晶的物理情況,可以將壓縮光場分為,內容自適應的光柵顯示 ,基於衰減的多層光場顯示 ,偏振光場顯示 ,及張量顯示 。以下將簡單介紹張量顯示。
張量顯示中,多層液晶可以看作一組光強調製器,光線穿過時會受到液晶調製。從而,第i條出射光線的表達式為,
空氣成像
空氣成像
空氣成像
空氣成像其中, 為三層液晶上的不同位置。 為出射位置, 為每層的偏移距離。為了顯示更大的視角及更高的顯示質量,在此需要採用高級次矩陣分解。當出射光場與目標光場最接近時,可以最小化的目標函式。
空氣成像
空氣成像
空氣成像
空氣成像
空氣成像
空氣成像
空氣成像其中, 是目標視點, 是亮度, 是出射視點, 為張量分解的級次。 為光線通過N層液晶的張量計算結果。 可以看出,當像素越密,層數越多時,液晶的調製能力就越強,出射光場就越接近目標光場。但隨之而來的是光強的大幅度衰減。
懸浮光場
懸浮光場顯示,由北京郵電大學的桑新柱團隊提出。與傳統的懸浮成像過程相比,在顯示視角和顯示質量上有顯著提高。另外,在提供大幅面顯示的同時,保持著更小的外觀尺寸,及更高的解析度。
空氣成像懸浮光場顯示的原理與壓縮光場的控光原理類似,通過多層排列的相位調製器件,可以在空間中的任意位置再現目標光場。懸浮光場顯示同樣屬於計算光場顯示,通過多層的相位計算擬合,設計出了更為靈活的顯示系統,從而生成懸浮目標光場。
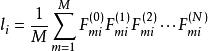
懸浮光場顯示的光路原理如上圖所示。空間中的一個物體,在0位置發出任意一束光線,表達式為
空氣成像,
光線通過多層相位調製器後,可以得到
空氣成像
空氣成像其中,
我們希望,在z位置得到的出射光場與入射的目標光場相同,那么可以最小化目標函式
空氣成像,
空氣成像
空氣成像其中, 是出射光線, 是入射光線及目標光線。如果不改變光強,那么上式可以簡化為
空氣成像.
通過最佳化求解每一層的相位調製器取值,可得到最終的懸浮光場顯示效果。
技術實現
基於光線積分的原理,眸合科技 研發了Magic screen 空氣顯示屏,並在3.0版本之後進行了商用.
4.0版本進一步提高了清晰度和解析度

