定義
積分加速度計是輸出與輸入加速度的時間積分成比例的加速度計。
加速度計
加速度計 (accelerometer) 測量加速度的儀表。加速度測量是工程技術提出的重要課題。當物體具有很大的加速度時,物體及其所載的儀器設備和其他無相對加速度的物體均受到能產生同樣大的加速度的力,即受到動載荷。欲知動載荷就要測出加速度。其次,要知道各瞬時飛機、火箭和艦艇所在的空間位置,可通過慣性導航(見陀螺平台慣性導航系統)連續地測出其加速度,然後經過積分運算得到速度分量,再次積分得到一個方向的位置坐標信號,而三個坐標方向的儀器測量結果就綜合出運動曲線並給出每瞬時航行器所在的空間位置。再如某些控制系統中,常需要加速度信號作為產生控制作用所需的信息的一部分,這裡也出現連續地測量加速度的問題。能連續地給出加速度信號的裝置稱為加速度感測器。
常見加速度計的構件如下:外殼(與被測物體固連)、參考質量,敏感元件、信號輸出器等。加速度計要求有一定量程和精確度、敏感性等,這些要求在某種程度上往往是矛盾的。以不同原理為依據的加速度計,其量程不同(從幾個 g到幾十萬個 g),它們對突變加速度頻率的敏感性也各不相同。常見的加速度計所依據的原理有:①參考質量由彈簧與殼體相連,它和殼體的相對位移反映出加速度分量的大小,這個信號通過電位器以電壓量輸出;②參考質量由彈性細桿與殼體固連,加速度引起的動載荷使桿變形,用應變電阻絲感應變形的大小,其輸出量是正比於加速度分盤大小的電信號;③參考質量通過壓電元件與殼體固連,質量的動載荷對壓電元件產生壓力,壓電元件輸出與壓力即加速度分量成比例的電信號:④參考質量由彈簧與殼體連線,放線上圈內部,反映加速度分量大小的位移改變線圈的電感,從而輸出與加速度成正比的電信號。此外,尚有伺服類型的加速度計,其中引入一個反饋迴路,以提高測量的精度。為了測出在平面或空間的加速度矢量,需要兩個或三個加速度計,各測量一個加速度分量。
擺式積分陀螺加速度計
擺式積分陀螺加速度計是利用在自轉軸上有一定擺性的積分陀螺來測量比力的裝置。多用於飛彈制導系統。由積分陀螺、伺服電機和單軸轉台等組成。在陀螺的自轉軸上,有一個偏離輸出軸一定距離的不平衡質量,形成擺。當沿輸入軸有加速度作用時,慣性力矩使擺繞輸出軸轉動,角度感測器即產生一個正比於框架轉角的電壓信號,經放大後送入伺服電機、使裝有陀螺的轉台轉動而在陀螺框架上產生一個陀螺力矩來平衡慣性力矩,使陀螺轉子軸趨向於零位。單位時間內轉台的轉角即加速度的量度。
擺式積分陀螺加速度計(以下簡稱陀螺加速度計)是慣性制導系統的核心儀表,其精度的高低會直接影響慣性制導系統的控制精度,現有的陀螺加速度計其外環採用傳統的滾珠軸承支撐,因此儀表外環軸存在摩擦力矩。
加速度信號的積分原理與積分誤差補償
設加速度函式為x(t),則速度函式y(t)與它的關係如公式(1)所示,x(t)拉氏變換函式為x(s),y(t)拉氏變換為y(s),則將公式(1)進行拉氏變換後如公式(2)所示:
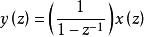
積分加速度計所以加速度積分的模型如圖所示,圖中x(s)為加速度的S域函式,y(s)為積分後的速度S域函式。
積分模型由1/s的Z變換為1/(1-1/z)可以將等式1轉換到Z域,如下式:
積分加速度計由上式可以進一步得到加速度和積分後的速度的差分方程關係:
積分加速度計其中y(k)速度的第k個採樣點,y(k-1)速度的第k-1個採樣點,x(k)為加速度的第k個採樣點。
積分會對誤差積累,隨著時間的推移積分出的誤差就會越來越明顯。因此實際測得的加速度零點可能偏上或者偏下,這樣就會導致積分出的速度整體以一定的斜率向上或者向下漂移。需要對計算出的速度進行誤差補償。

