定義
積分上限函式
積分上限函式
積分上限函式
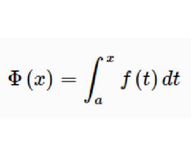
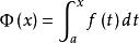
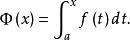
積分上限函式設函式f(x)在區間[a,b]上可積,且對任意 在[a,x]上也可積,稱變上限定積分 為 的積分上限函式,記為 即
積分上限函式
積分上限函式
積分上限函式當 時, 在幾何上表示為右側鄰邊可以變動的曲邊梯形的面積(圖1中的陰影部分) 。
圖1定理
積分上限函式設函式 在區間[a,b]上連續,則積分上限函式
積分上限函式在[a,b]上可導,並且
積分上限函式
積分上限函式
積分上限函式
積分上限函式
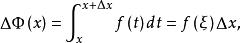
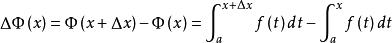
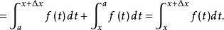
積分上限函式證明: 對於任意給定的 給x以增量 使得 由 的定義及定積分對區間的可加性,有
積分上限函式
積分上限函式再由 定積分中值定理,得
積分上限函式
積分上限函式
積分上限函式
積分上限函式其中, 在 和 之間。
積分上限函式
積分上限函式
積分上限函式
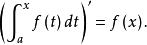
積分上限函式令 則 從而 由 的連續性,得
積分上限函式根據導數定義,得
積分上限函式即
積分上限函式證畢。
積分上限函式
積分上限函式這個定理說明,任何連續函式都有原函式存在,且積分上限函式 就是在[a,b] 上的一個原函式。上述定理也叫做 原函式存在定理 。

