彌散的概念
由於剪下流中的流速分布(對於紊流指時均流速分布)不均與產生含有物質隨流散開的作用成為彌散或者離散(dispersion)。在移流擴散方程中,移流輸送項包含了三維流動中速度不均勻的離散影響。所以理論上可以通過求解移流擴散方程來分析,但一般難度較大。通常處理的方法是:將三維剪下流簡化為一維流或二維流,用斷面平均參數表示一維流或二維流情況,所以前述擴散問題求解中是按均勻分布流速計算的,應該考慮實際流速不均勻所造成的附加擴散,即彌散(離散)。所以彌散是由於將流場進行空間平均的簡化處理引起的。
方程的一般形式
移流彌散方程的一般形式為:
儲存量變化率=-移流輸移變化率+彌散輸移變化率-生化作用降解
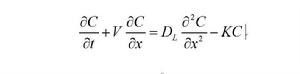
當河流橫斷面積基本不變時,一維移流彌散方程為
移流彌散方程
移流彌散方程式中,C為溶質的斷面平均濃度;t為時間;V為斷面平均流速;x為橫坐標;D為縱向離散係數;K為物質因生物化學等作用引起的動力學轉化係數。在簡單的邊界及排放條件下可求上式的解析解,在複雜的邊界及排放條件下需用數值法求解,從而獲得濃度的時空分布。
研究
1953年泰勒(G.L.Tayor)首先對圓管層流的縱向彌散問題進行了研究,1954年他又研究了圓管紊流的彌散問題。1959年J.W.埃爾德套用泰勒的方法對明槽中的彌散進行了分析。後來R.阿里斯提出了濃度矩的方法將泰勒分析彌散的方法普遍化。20世紀60年代H.B.費希爾等人推廣至天然河道的彌散計算,並研究了橫向彌散問題,認為在天然河道和港灣中橫向彌散比垂向彌散作用更重要。目前對複雜邊界及作恆定流動中的彌散已取得了一些研究成果。
當河道的平均流速比較小時,移流作用不大,彌散作用對污染物質濃度分布的影響較大,如何準確地確定彌散係數是一個重要的問題。對於過流斷面變化不大的順直河道,可根據流速分布或單寬流量的分布來計算。缺乏流速分布資料時,可選用合適的經驗公式來估算。要較準確地確定彌散係數,需進行現場示蹤試驗。
