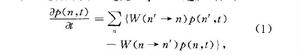
社會輿論形成(formation of social opinion) 分析社會輿論發展形成及其穩定特點的一種數學模型.它由德國學者魏德利希(Weidlish, W.)和哈格 (Hagg,U.)利用協同學原理建立起來的. 假定社會總人數為2n,對某一事物每一個人的態度只有兩種:同意、反對,其人數分別為n},nz.用單一變數n-ni-nz表示確定人群輿論的狀態.用t 時刻狀態取n值的機率p(n,t)作為模型中變數描述系統.按協同學理論建立p(n,t)遵從的方程
社會輿論形成其中W(n'->n)表示從n'狀態向n狀態的轉移機率. 進一步假定: 1.每一次只有一個人轉變觀點. 2.轉移機率等於一個人態度轉變的可能性與可以進行態度轉變的人數的乘積,方程可簡化為
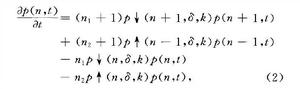
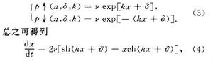
社會輿論形成其中,p專(n,},k)表示處在n狀態、個人偏好參數為占、個人順從因子取k時,一個人向n-1狀態轉變的可能性,p個(n,c},k)表示同樣情況下向n+1 狀態轉變的可能性.}}0表示個人偏好同意觀點:占 <。表示偏好反對觀點;k>。表示個人偏向順從其他人意見,kG0表示個人偏向反對多數人意見. 對方程式(2)取和,得到平均值<n)滿足的方程,同時簡化表達式,將對函式取平均值簡化為對變數 n取平均值,再採用新變數x=Cn)lN,即可得到個人轉變態度可能性的表達式:
社會輿論形成即社會輿論形成模型.給定參數數值k,},v,及初條件,求解可得到與實際相符的輿論形成過程的結果. 分析參數變化時對方程定態解的影響,可研究各種情況下輿論形成的不同形式
