定義
社交網路信息表示模型是用於得到社交網路信息表示的模型。
社交網路信息表示模型
社交網路信息表示問題因為社交網路含有可用的圖結構信息,因此很多時候用到圖形嵌入表示的方法,如MDS ,IsoMap ,LLE 和拉普拉斯特徵圖 。這些方法通常首先使用數據點的特徵向量構建一個全局圖,然後將一個圖形嵌入到低維空間中 。然而,這些算法通常依賴於求解最優矩陣的前導特徵向量,其複雜度至少與節點數相等,使得它們不能處理大規模網路。
真實的社交網路具有較大的規模,因此針對社交網路的信息表示問題又出現了一些表現更好的算法,如DeepWalk ,LINE 和IONE 等。儘管DeepWalk在實驗效果上很有潛力,但並沒有提供明確的目標來闡明網路中被保留的屬性是什麼 。因此,LINE和IONE等算法在此基礎上進一步確定了具體的目標函式,使社交網路信息表示問題可以通過對目標函式進行最佳化來完成。
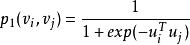
下面介紹一下算法LINE。該算法定義了節點的兩種相似性,分別為一階相似性和二階相似性。一階相似性可以看作局部的信息,是兩點之間的相似性,即社交網路中兩個用戶節點之間是否存在好友關係。二階相似性可以看作兩點鄰域網路的相似性,即社交網路中兩個用戶節點各自的好友關係網路的相似性。
社交網路信息表示模型
社交網路信息表示模型
社交網路信息表示模型對於一階相似性有,其中為點的低維向量表示。
社交網路信息表示模型對於二階相似性有。
社交網路信息表示模型
社交網路信息表示模型
社交網路信息表示模型
社交網路信息表示模型目標函式定義為,其中為的分布與其經驗值的分布的相似性度量,利用KL散度值進行計算。同理。最終利用梯度下降方法最小化目標函式O,進而得到社交網路的信息表示。
LINE是在社交網路信息表示領域較有代表性的算法,很多算法受到了它的啟發,利用了更多的結構信息,也就是改變了算法的目標函式,但求解仍是通過最小化目標函式來完成的。
