將己糖-1-磷酸尿苷醯轉移酶轉變為一種新酶:UDP-已糖合酶
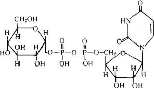
已糖-1-磷酸尿苷醯轉移酶(又稱半乳糖-1-磷酸尿苷醯轉移酶)是乳糖代謝中Leloir途徑的一個關鍵酶。其活性中心的兩個組氨酸(his~(164)和his~(166))上的咪唑環為親核催化基團,催化葡萄糖-1-磷酸(G-1-P)與UDP-半乳糖形成半乳糖-1-磷酸(Gal-1-P)和UDP-葡萄糖、,反應中轉移的是5-磷酸尿苷基團。反應方程式如下:【DOI】:cnki:ISSN:1672-8009.0.1991-04-017
【正文快照】:
已糖一1一磷酸尿昔酞轉移酶(又稱半乳糖-l一磷酸尿昔酞轉移酶)是乳糖代謝中Leloir途徑的一個關鍵酶,其活性中心的兩個組氮酸(his’“和his’6‘)上的眯哩環為親核催化基團,催化葡萄糖一1一磷酸(G一t一P)與UDP一半乳糖形成半乳糖一1一磷酸(Ga卜1一P)和UDP一葡萄糖、,反應中轉移

