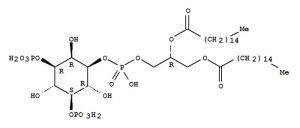
磷脂醯肌醇二磷酸
【作者單位】:第一軍醫大學細胞生物學與醫學遺傳學教研室!廣州510515
【關鍵字】:磷脂醯肌醇二磷酸;質膜;信號分子
【基金】:1999年度國家自然科學基金資助項目;1999年度廣東省自然科學基金資助項目
【分類號】:Q71
【DOI】:cnki:ISSN:1000-1336.0.2001-02-012
【正文快照】:
磷脂醯肌醇4,5二磷酸(phosphatidylinositol(4,5)bisphosphate,PIP2)僅占膜磷脂的不到1%,功能卻非常複雜。這種低豐度的多磷酸肌醇脂(polyphosphoinositides)可被激素或細胞因子受體介導活化的磷酸脂酶C(phospholipaseC,PLC)水解為第二信使分子肌醇三磷酸(IP3)和二醯基甘油(DAG)參與信號傳遞。最近的研究表明細胞表面,即質膜,是PIP2功能表現的主要場所,參與了細胞膜上許多重要生理過程,如膜轉運、膜與細胞骨架之間的相互作用及其與…

