定義
矩陣對數
矩陣對數
矩陣對數
矩陣對數
矩陣對數
矩陣對數對於任意一個階非奇異矩陣,總存在一個矩陣(稱為的矩陣對數),滿足,其中是矩陣指數。通常情況下,矩陣對數總是不唯一的。實矩陣的矩陣對數很可能是一個復矩陣。在matlab中由函式logm實現。
示例
矩陣對數
矩陣對數對於單位矩陣,其矩陣對數為零矩陣。
矩陣對數
矩陣對數
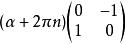
矩陣對數對於實矩陣,其矩陣對數為,其中為任意整數。
性質
矩陣對數1.設為正定矩陣,則
矩陣對數
矩陣對數其中為矩陣的跡。
矩陣對數2.如果為可交換矩陣,則
矩陣對數
矩陣對數令得到
矩陣對數