定義
眾數是樣本觀測值在頻數分布表中頻數最多的那一組的組中值,主要套用於大面積普查研究之中。
眾數是在一組數據中,出現次數最多的數據,是一組數據中的原數據,而不是相應的次數。
一組數據中的眾數不止一個,如數據2、3、-1、2、1、3中,2、3都出現了兩次,它們都是這組數據中的眾數。
一般來說,一組數據中,出現次數最多的數就叫這組數據的眾數。
例如:1,2,3,3,4的眾數是3。
但是,如果有兩個或兩個以上個數出現次數都是最多的,那么這幾個數都是這組數據的眾數。
例如:1,2,2,3,3,4的眾數是2和3。
還有,如果所有數據出現的次數都一樣,那么這組數據沒有眾數。
例如:1,2,3,4,5沒有眾數。
在高斯分布中,眾數位於峰值。
相關資料
用眾數代表一組數據,可靠性較差,不過,眾數不受極端數據的影響,並且求法簡便。在一組數據中,如果個別數據有很大的變動,選擇中位數表示這組數據的“集中趨勢”就比較適合。
當數值或被觀察者沒有明顯次序(常發生於非數值性資料)時特別有用,由於可能無法良好定義算術平均數和中位數。
例子:{雞、鴨、魚、魚、雞、魚}的眾數是魚。
眾數算出來是銷售最常用的,代表最多的。
計算方法
觀察法
若數據已歸類,則出現頻數最多的數據即為眾數;若數據已分組,則頻數最多的那一組的組中值即為眾數。用觀察法求得的眾數,一般是粗略眾數。
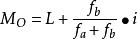
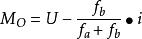
金氏插入法
根據計算公式:
眾數[統計學/數學名詞]或
眾數[統計學/數學名詞]式中L 表示眾數所在組的精確下限,U 表示眾數所在組的精確上限,f為與眾數組下限相鄰的頻數,f為與眾數組上限相鄰的頻數, i 為組距。
皮爾遜經驗法
眾數[統計學/數學名詞]根據計算公式:可求眾數。
式中ξ 為樣本均值, Md 為中數,用皮爾遜公司計算所得眾數近似於理論眾數,常稱為皮爾遜近似眾數。眾數是皮爾遜(Pearson,K.)最先提出並在生物統計學中使用的,以上是數據出自於離散型隨機變數時求眾數的方法,對於連續型隨機變數ξ ,若機率密度函式為 f ,且 f 恰有一個最大值,則此最大值稱為ξ 的眾數,有時也把 f 的極大值稱為眾數; f 有兩個以上極大值時,亦稱復眾數。
![眾數[統計學/數學名詞] 眾數[統計學/數學名詞]](/img/c/280/nBnauM3X0IDO2IDM3kzM5IDN0UTMyITNykTO0EDMwAjMwUzL5MzL4gzLt92YucmbvRWdo5Cd0FmLxE2LvoDc0RHa.jpg)
