定義
真(假)分式的分子分母不是數字而是數學表達式。
真分式和假分式的區別與真分數、假分數相近。
一個分式的分子的次數低於分母的次數,則這個分式叫做真分式。
舉例
真分式
真分式
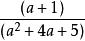
真分式例如,,是分數,而則是分式且為真分式。讀做 a的平方加4a加5的和分之a加1的和。
一個分式的分子的次數低於分母的次數,則這個分式叫做真分式。
真分式是分式的一種,是指一個分式的分子的最高次數低於分母的最高次數。凡是分子與分母無共同公因式的真分式均可以被拆為多項分式相加的形式。
真(假)分式的分子分母不是數字而是數學表達式。
真分式和假分式的區別與真分數、假分數相近。
一個分式的分子的次數低於分母的次數,則這個分式叫做真分式。
真分式
真分式
真分式例如,,是分數,而則是分式且為真分式。讀做 a的平方加4a加5的和分之a加1的和。
一個分式的分子的次數低於分母的次數,則這個分式叫做真分式。
: 部分分式 1、F 上任何既約有理真分式都可以惟一地表示為部分分式和的形式:若f(x)/g(x) 是 F 上的既約真分式,g(x... 則既約真分式f(x)/g(x) 的部分分式的分解式為 部分分式 部分分式...
簡介 分解定理 相關概念為非負整數,與都是常數,且。若m n,則稱它為真分式;若m≤n,則稱它為假分式。由多項式的除法可知,假分式總能化為一個多項式與一個真分式之和。由於多項式的不定積分是容易求得的,因此只需研究真分式的不定積分,故設(1...
基本介紹 有理函式積分法的具體介紹分為真分式和假分式,而假分式經過多項式除法可以轉化成一個整式和一個真分式的和.可見問題轉化為計算真分式的積分.可以證明,任何真分式總能分解為部分...
解釋 性質 求解 積分公式 積分方法-3....................178.第四節 有理函式的積分..........178一、有理真分式化為部分分式之和....................179二、有理真分式...
基本信息 內容簡介 目錄將 化為一個多項式與一個真分式 之和的形式,多項式部分積分是容易的。對於...
生平簡介 主要貢獻概念介紹 分式的一種。假分式真分式和假分式的區別與真分數、假分數相近。一個分式的分子的次數高於或等於分母的次數,則這個分式叫做假分式。它可以化為整式或整式與分式的和。 相關條目 數學 數學定理 科學...
概念介紹 相關條目的方法31真分式不定積分的快捷計算法32通過配置,快捷計算不定積分的方法...
內容簡介 作者簡介 圖書目錄(1)有理函式的積分63 有理函式63 有理函式真分式...
圖書信息 內容簡介 圖書目錄的證明》、《計算真分式不定積分的一種新方法》.編.寫了教材《線性代數》。 ...
簡介 研究方向 研究成果