簡介
為了計算光學厚度,必須知道日光在大氣中的路徑,因此要引人相對大氣質量(亦稱為大氣質量數)的概念,相對大氣質量的準確定義是指日光自θ角傾斜入射時與自天頂入射時的光學厚度之比。
變化範圍
其變化範圍從太陽在天頂時的1.0,到經過天頂角60°時的2.0,至太陽在地平線時的無窮大。
推導公式
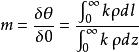
相對大氣質量的準確定義是指日光自θ角傾斜入射時與自天頂入射時的光學厚度之比,即:
相對大氣質量假設k為常數,即空氣在光路上的組成不變,相對大氣質量就簡化成:
相對大氣質量即為日光傾斜入射與垂直入射時的光學質量之比。大氣中對輻射有削弱作用的不僅有均勻混合氣體,還有臭氧、水汽和氣溶膠等可變化組分,因此應對大氣中的各個削弱組分分別求解。
晴朗大氣相對大氣質量
關於晴朗大氣m的計算,可採用一些簡單模式。導致太陽輻射衰減的總光學厚度為空氣分下散射、氣溶膠粒子散射、臭氧和水汽分子的吸收以及氧氣和二氧化碳等均勻混合的氣體分子的吸收所造成的光學厚度之和。某種氣體的密度是與大氣中這種氣體的含量相關的。對氧氣或二氧化碳這些均勻混合的氣體。只要知道地面氣壓就可以推出其密度。而對於臭氧和水汽,由於在全球不同地點、不同時間,其含量變化很大,因此必須首先知道這種氣體的含量,才能計算其相對大氣質量。
簡單形式
對於大氣中與太陽直接輻射有關的大多數散射和吸收過程來說,必須了解光束到達所考虐的水平面——通常是地面時所通過的大氣(或大氣中有關物質)的總質量或"光學路徑"。除非在相當專門化的套用中需要做某些小的訂正外,垂直光學路程m1和真實太陽射束傾斜光學路徑m2三者之間的關係,只是太陽天頂角的簡單函式,即:m2/m1=sceθ=m
m這個量稱為相對大氣質量。
