定義
相位偏移調製,又稱 移相鍵控(PSK,Phase Shift Keying)是一種利用相位差異的信號來傳送資料的調製方式。該傳送信號必須為正交信號,其基底更須為單位化信號。
一個信號所代表的數學公式
相位偏移調製一般調製信號的改變部分可分為幅度A(ASK用)、相位(PSK用)及頻率(FSK用)三種。其中PSK即利用相位差異來產生的調製方式。
MPSK通用的傳輸符號之公式。
相位偏移調製PSK又可稱M-PSK或MPSK,目前有BPSK、QPSK、16PSK、64PSK等等,常用的只有QPSK。而M是代表傳送信號的符號(symbol)種類。符號越多,傳送的比特數越多,自然在固定時間可傳送越多的資料量(bps)。
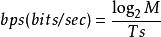
相位偏移調製傳輸量公式:
假設各MPSK皆在同一能量下傳送,PSK會因為符號種類(M)的提升使比特差錯率(Bits Error Rate,BER)快速上升。所以在符號數M大於16後都由QAM來執行調製工作。QPSK如果用格雷碼對映的方式,其BER會和BPSK一樣。所以目前常用的只有QPSK。
二比特相位偏移調製(BPSK)
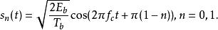
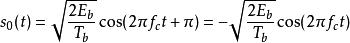
BPSK是PSK系列中最簡單的一種。它是使用兩個相位差180°且正交的信號表示0及1的資料。它在坐標圖放置的點並無特別設計,兩點皆放在實數軸,分別在0°的點及180°的點。這種系統是在PSK系列中抗噪聲能力(SNR)是最佳的,在傳送過程中即使嚴重失真,在解調時仍可儘量避免錯誤的判斷。然而,由於只能調製1 bit至symbol上,所以不適合用在高頻寬資料傳送需求的系統上。
標準BPSK遵循如下公式:
相位偏移調製公式包含0和π兩個相位。在具體形式中,二進制數據以如下形式傳送:
相位偏移調製代表零;
相位偏移調製代表一。
其中 f代表載波頻率。 因此,信號空間可以由單個基函式表示:
相位偏移調製
相位偏移調製
相位偏移調製其中 代表一,代表零。
BPSK 的比特差錯率(BER) 在白色高斯噪聲下表示之公式:
相位偏移調製BPSK 的BER和和它的符號錯誤率(SER)是相同的。
四比特相位偏移調製(QPSK)
QPSK,有時也稱作四比特PSK、四相位PSK、4-PSK,在坐標圖上看是圓上四個對稱的點。通過四個相位,QPSK可以編碼2比特符號。圖中採用格雷碼來達到最小比特差錯率(BER) — 是BPSK的兩倍. 這意味著可以在BPSK系統頻寬不變的情況下增大一倍數據傳送速率或者在BPSK數據傳送速率不變的情況下將所需頻寬減半。
數學分析表明,QPSK既可以在保證相同信號頻寬的前提下倍增BPSK系統的數據速率,也可以在保證數據速率的前提下減半BPSK系統的頻寬需求。在後一種情況下,QPSK的BER與BPSK系統的BER完全相同。
由於無線電通訊的頻寬都是由FCC一類部門所事先分配規定的,QPSK較之於BPSK的優勢便開始顯現出來:QPSK系統在給定的頻寬內可以在BER相同的情況下可以提供BPSK系統兩倍的頻寬。採取QPSK系統在實際工程上的代價是其接收設備要遠比BPSK系統的接收設備複雜。然而,隨著現代電子技術的迅猛發展,這種代價已經變得微不足道。
較之BPSK系統,QPSK系統在接收端存在相位模糊的問題,所以實際套用中經常採取差分編碼QPSK的方式。
QPSK遵循如下公式:
相位偏移調製公式包含π/4、3π/4、5π/4與7π/4四個相位。
在二維信號空間中得出的以單位基函式表示的結果為:
相位偏移調製
相位偏移調製第一個基函式被用作信號的在相分量,第二個基函式被用作信號的正交分量。
根據上面的理論推導,QPSK的BER等同於BPSK,即:
相位偏移調製然而,為了實現相同的BER,QPSK系統需要使用BPSK兩倍的功率(假設兩個比特同時傳輸)。錯誤率模型由如下公式給出:
相位偏移調製
相位偏移調製
相位偏移調製如果信噪比較高,則實際錯誤率模型可估計為:
相位偏移調製參見
•調製
•頻率偏移調製
•正交幅度調製
