無刷直流電機概述
無刷直流電機是永磁式同步電機的一種,而並不是真正的直流電機,英文簡稱BLDC。區別於有刷直流電機,無刷直流電機不使用機械的電刷裝置,採用方波自控式永磁同步電機,以霍爾感測器取代碳刷換向器,以釹鐵硼作為轉子的永磁材料,性能上相較一般的傳統直流電機有很大優勢,是當今最理想的調速電機。無刷直流電機工作原理
無刷直流電機由電動機主體和驅動器組成,是一種典型的機電一體化產品。 電動機的定子繞組多做成三相對稱星形接法,同三相異步電動機十分相似。電動機的轉子上粘有已充磁的永磁體 ,為了檢測電動機轉子的極性,在電動機內裝有位置感測器。驅動器由功率電子器件和積體電路等構成,其功能是:接受電動機的啟動、停止、制動信號,以控制電動機的啟動、停止和制動;接受位置感測器信號和正反轉信號,用來控制逆變橋各功率管的通斷,產生連續轉矩;接受速度指令和速度反饋信號,用來控制和調整轉速;提供保護和顯示等等。無刷直流電機特點
1、全面替代直流電機調速、全面替代變頻器+變頻電機調速、全面替代異步電機+減速機調速;2、具有傳統直流電機的所有優點,同時又取消了碳刷、滑環結構;
3、可以低速大功率運行,可以省去減速機直接驅動大的負載;
4、體積小、重量輕、出力大;
5、轉矩特性優異,中、低速轉矩性能好,啟動轉矩大,啟動電流小;
6、無級調速,調速範圍廣,過載能力強;
7、軟啟軟停、制動特性好,可省去原有的機械制動或電磁製動裝置;
8、效率高,電機本身沒有勵磁損耗和碳刷損耗,消除了多級減速耗,綜合節電率可達20%~60%,僅節電一項一年收回購置成本;
9、可靠性高,穩定性好,適應性強,維修與保養簡單;
10、耐顛簸震動,噪音低,震動小,運轉平滑,壽命長;
11、沒有無線電干擾,不產生火花,特別適合爆炸性場所,有防爆型;
12、根據需要可選梯形波磁場電機和正鏇波磁場電機。
無刷直流電機注意事項
(1)在拆卸前,要用壓縮空氣吹淨電機表面灰塵,並將表面污垢擦拭乾淨。(2)選擇電機解體的工作地點,清理現場環境。
(3)熟悉電機結構特點和檢修技術要求。
(4)準備好解體所需工具(包括專用工具)和設備。
(5)為了進一步了解電機運行中的缺陷,有條件時可在拆卸前做一次檢查試驗。為此,將電機帶上負載試轉,詳細檢查電機各部分溫度、聲音、振動等情況,並測試電壓、電流、轉速等,然後再斷開負載,單獨做一次空載檢查試驗,測出空載電流和空載損耗,做好記錄。
(6)切斷電源 ,拆除電機外部接線,做好記錄。
(7)選用合適電壓的兆歐表測試電機絕緣電阻 。為了跟上次檢修時所測的絕緣電阻值相比較以判斷電機絕緣變化趨勢和絕緣狀態,應將不同溫度下測出的絕緣電阻值換算到同一溫度,一般換算至75℃。
(8)測試吸收比K。當吸收比大於1.33時,表明電機絕緣不曾受潮或受潮程度不嚴重。為了跟以前數據進行比較,同樣要將任意溫度下測得的吸收比換算到同一溫度。
無刷直流電機選型
無刷直流電機選型時需參考的主要參數有以下幾點:最大扭矩:可以通過將負載扭矩、轉動慣量和摩擦力相加得到,另外,還有一些額外的因素影響最大扭矩如氣隙空氣的阻力等。
平方模扭矩:可以近似的認為是實際套用需要的持續輸出扭矩,由許多因素決定:最大扭矩、負載扭矩、轉動慣量、加速、減速及運行時間等。
轉速:這是有套用需求的轉速,可以根據電機的轉速梯形曲線來確定電機的轉速需求,通常計算時要留有10%的餘量。
無刷直流電機套用
無刷直流電機的套用十分廣泛,如汽車、工具、工業工控、自動化以及航空航天等等。總的來說,無刷直流電機可以分為以下三種主要用途:持續負載套用:主要是需要一定轉速但是對轉速精度要求不高的領域,比如風扇、抽水機、吹風機等一類的套用,這類套用成本較低且多為開環控制。
可變負載套用:主要是轉速需要在某個範圍內變化的套用,對電機轉速特性和動態回響時間特性有更高的需求。如家用器具中的、甩乾機和壓縮機就是很好的例子,汽車工業領域中的油泵控制、電控制器、發動機控制等,這類套用的系統成本相對更高些。
定位套用:大多數工業控制和自動控制方面的套用屬於這個類別,這類套用中往往會完成能量的輸送,所以對轉速的動態回響和轉矩有特別的要求,對控制器的要求也較高。測速時可能會用上光電和一些同步設備。過程控制、機械控制和運輸控制等很多都屬於這類套用。
無刷直流電機意義
實用性新型無刷電機是與電子技術、微電子技術、數位技術、自控技術以及材料科學等發展緊密聯繫的。它不僅限於交直流領域,還涉及電動、發電的能量轉換和信號感測等領域。在電機領域中新型無刷電機的品種是較多的,但性能優良的無刷電機因受到價格的限制,其套用還不十分廣泛。下面分別就主要的新型無刷電機進行探索與研究。直流無刷電動機
直流無刷電動機與一般直流電動機具有相同的工作原理和套用特性,而其組成是不一樣的。除了電機本身外,前者還多一個換向電路,電機本身和換向電路緊密結合在一起。許多小功率電動機的電機本身是與換向電路合成一體,從外觀上看直流無刷電動機與直流電動機完全一樣。直流無刷電動機的電機本身是機電能量轉換部分,它除了電機電樞、永磁勵磁兩部分外,還帶有感測器。電機本身是直流無刷電機的核心,它不僅關係到性能指標、噪聲振動、可靠性和使用壽命等,還涉及製造費用及產品成本。由於採用永磁磁場,使直流無刷電機擺脫一般直流電機的傳統設計和結構,滿足各種套用市場的要求,並向著省銅節材、製造簡便的方向發展。永磁磁場的發展與永磁材料的套用密切相關,第三代永磁材料的套用,促使直流無刷電機向高效率、小型化、節能方向邁進。
為了實現電子換向必須有位置信號來控制電路。早期用機電位置感測器獲得位置信號,現已逐步用電子式位置感測器或其它方法得到位置信號,最簡便的方法是利用電樞繞組的電勢信號作為位置信號。
要實現電機轉速的控制必須有速度信號。用獲得位置信號相近方法取得速度信號,最簡單的速度感測器是測頻式測速發電機與電子線路相結合。
直流無刷電機的換向電路由驅動及控制兩部分組成,這兩部分是不容易分開的,尤其小功率用電路往往將兩者集成化成為單一專用積體電路。
在功率較大的電機中,驅動電路和控制電路可各自成為一體。驅動電路輸出電功率,驅動電動機的電樞繞組,並受控於控制電路。目前,驅動電路已從線性放大狀態轉成脈寬調製的開關狀態,相應電路組成也從電晶體分立電路轉成模組化積體電路。模組化積體電路有功率雙極電晶體、功率場效應管和隔離柵場效應雙極電晶體等組成形式。雖然,隔離柵場效應雙極電晶體價格較貴,但從可靠安全和性能角度看,選用它還是較合適的。
控制電路用作控制電機的轉速、轉向、電流(或轉矩)以及保護電機的過流、過壓、過熱等。上述參數容易轉成模擬信號,用此來控制較簡單,但從發展來看,電機的參數應轉換成數字量,通過數字式控制電路來控制電機。當前,控制電路有專用積體電路、微處理器和數位訊號處理器等三種組成方式。在對電機控制要求不高的場合,專用積體電路組成控制電路是簡單實用的方式。採用數位訊號處理器組成控制電路是今後發展方向,有關數位訊號處理器將在下面交流同步伺服電動機中介紹。
目前,在微小功率範疇直流無刷電動機是發展較快的新型電機。由於各個套用領域需要各自獨特的直流無刷電動機,所以直流無刷電動機的類型較多。大體上有計算機外存儲器以及VCD、DVD、CD主軸驅動用扁平式無鐵心電機結構,小型通風機用外轉子電機結構,家電用多極磁場結構及內裝式結構,電動腳踏車用多極、外轉子結構等等。上述直流無刷電動機的電機本身和電路均成一體,使用十分方便,它的產量也非常大。為了滿足大批量、低成本的市場需要,直流無刷電動機的生產必須要形成規模經濟。因此,直流無刷電動機是一種高投入、高產出的行業。同時,我們應該考慮到市場也在不斷地發展,如家用空調用電機正由3A轉向3D,需要大量的中小功率的直流無刷直流電動機,研究和開發中小功率的直流無刷電動機也成當務之急。
無刷直流電機(BLDCM)是在有刷直流電動機的基礎上發展來的,但它的驅動電流是不折不扣的交流;無刷直流電機又可以分為無刷速率電機和無刷力矩電機。一般地,無刷電機的驅動電流有兩種,一種是梯形波(一般是“方波”),另一種是正弦波。有時候把前一種叫直流無刷電機,後一種叫交流伺服電機,確切地講是交流伺服電動機的一種。
無刷直流電機為了減少轉動慣量,通常採用“細長”的結構。無刷直流電機在重量和體積上要比有刷直流電機小的多,相應的轉動慣量可以減少40%—50%左右。由於永磁材料的加工問題,致使無刷直流電機一般的容量都在100kW以下。
這種電動機的機械特性和調節特性的線性度好,調速範圍廣,壽命長,維護方便噪聲小,不存在因電刷而引起的一系列問題,所以這種電動機在控制系統中有很大的套用潛力。
電動機的定子繞組多做成三相對稱星形接法,同三相異步電動機十分相似。電動機的轉子上粘有已充磁的永磁體,為了檢測電動機轉子的極性,在電動機內裝有位置感測器。驅動器由功率電子器件和積體電路等構成,其功能是:接受電動機的啟動、停止、制動信號,以控制電動機的啟動、停止和制動;接受位置感測器信號和正反轉信號,用來控制逆變橋各功率管的通斷,產生連續轉矩;接受速度指令和速度反饋信號,用來控制和調整轉速;提供保護和顯示等等。
由於無刷直流電動機是以自控式運行的,所以不會象變頻調速下重載啟動的同步電機那樣在轉子上另加啟動繞組,也不會在負載突變時產生振盪和失步。
中小容量的無刷直流電動機的永磁體,現在多採用高磁能積的稀土釹鐵硼(Nd-Fe-B)材料。因此,稀土永磁無刷電動機的體積比同容量三相異步電動機縮小了一個機座號。
近三十年來針對異步電動機變頻調速的研究,歸根到底是在尋找控制異步電動機轉矩的方法,稀土永磁無刷直流電動機必將以其寬調速、小體積、高效率和穩態轉速誤差小等特點在調速領域顯現優勢。
無刷直流電機因為具有直流有刷電機的特性,同時也是頻率變化的裝置,所以又名直流變頻,國際通用名詞為BLDC.無刷直流電機的運轉效率,低速轉矩,轉速精度等都比任何控制技術的變頻器還要好,所以值得業界關注.本產品已經生產超過55kW,可設計到400kW,可以解決產業界節電與高性能驅動的需求。
無刷電機有什麼特點?
優點:a) 電子換向來代替傳統的機械換向,性能可靠、永無磨損、故障率低,壽命比有刷電機提高了約6倍,代表了電動車的發展方向;
b) 屬靜態電機,空載電流小;
c) 效率高;
d) 體積小。
缺點:
a) 低速起動時有輕微振動,如速度加大換相頻率增大,就感覺不到振動現象了;
b) 價格高,控制器要求高;
c) 易形成共振,因為任何一件東西都有一個固有振動頻率,如果無刷電機的振動頻率與車架或塑膠件的振動頻率相同或接近時就容易形成共振現象,但可以通過調整將共振現象減小到最小程度。所以採用無刷電機驅動的電動車有時會發出一種嗡嗡的聲音是一種正常的現象。
d) 腳踏騎行時較費力,最好是電力驅動與腳踏助力相結合。
有刷電機優缺點?
優點:a) 變速平穩,幾乎感覺不到振動;
b) 溫升低,可靠性好;
c) 價格低,所以被較多廠家選用。
缺點:
a) 碳刷易磨損,更換較為麻煩,壽命短;
b) 運行電流大,電機磁鋼易退磁,降低了電機與電池的作用壽命。
直流無刷電機的優越性
直流電機具有回響快速、較大的起動轉矩、從零轉速至額定轉速具備可提供額定轉矩的性能,但直流電機的優點也正是它的缺點,因為直流電機要產生額定負載下恆定轉矩的性能,則電樞磁場與轉子磁場須恆維持90°,這就要藉由碳刷及整流子。碳刷及整流子在電機轉動時會產生火花、碳粉因此除了會造成組件損壞之外,使用場合也受到限制。交流電機沒有碳刷及整流子,免維護、堅固、套用廣,但特性上若要達到相當於直流電機的性能須用複雜控制技術才能達到。現今半導體發展迅速功率組件切換頻率加快許多,提升驅動電機的性能。微處理機速度亦越來越快,可實現將交流電機控制置於一鏇轉的兩軸直交坐標系統中,適當控制交流電機在兩軸電流分量,達到類似直流電機控制並有與直流電機相當的性能。此外已有很多微處理機將控制電機必需的功能做在晶片中,而且體積越來越小;像模擬/數字轉換器(analog-to-digital converter,adc)、脈衝寬度調製(pulse wide modulator,pwm)…等。直流無刷電機即是以電子方式控制交流電機換相,得到類似直流電機特性又沒有直流電機機構上缺失的一種套用。
直流無刷電機結構
直流無刷電機是同步電機的一種,也就是說電機轉子的轉速受電機定子鏇轉磁場的速度及轉子極數(p)影響:n=120.f / p。在轉子極數固定情況下,改變定子鏇轉磁場的頻率就可以改變轉子的轉速。直流無刷電機即是將同步電機加上電子式控制(驅動器),控制定子鏇轉磁場的頻率並將電機轉子的轉速回授至控制中心反覆校正,以期達到接近直流電機特性的方式。也就是說直流無刷電機能夠在額定負載範圍內當負載變化時仍可以控制電機轉子維持一定的轉速。
直流無刷驅動器包括電源部及控制部如圖 (1) :電源部提供三相電源給電機,控制部則依需求轉換輸入電源頻率。
電源部可以直接以直流電輸入(一般為24v)或以交流電輸入(110v/220 v),如果輸入是交流電就得先經轉換器(converter)轉成直流。不論是直流電輸入或交流電輸入要轉入電機線圈前須先將直流電壓由換流器(inverter)轉成3相電壓來驅動電機。換流器(inverter)一般由6個功率電晶體(q1~q6)分為上臂(q1、q3、q5)/下臂(q2、q4、q6)連線電機作為控制流經電機線圈的開關。控制部則提供pwm(脈衝寬度調製)決定功率電晶體開關頻度及換流器(inverter)換相的時機。直流無刷電機一般希望使用在當負載變動時速度可以穩定於設定值而不會變動太大的速度控制,所以電機內部裝有能感應磁場的霍爾感測器(hall-sensor),做為速度之閉迴路控制,同時也做為相序控制的依據。但這只是用來做為速度控制並不能拿來做為定位控制。
直流無刷電機原理
要讓電機轉動起來,首先控制部就必須根據hall-sensor感應到的電機轉子目前所在位置,然後依照定子繞線決定開啟(或關閉)換流器(inverter)中功率電晶體的順序,如 下(圖二) inverter中之ah、bh、ch(這些稱為上臂功率電晶體)及al、bl、cl(這些稱為下臂功率電晶體),使電流依序流經電機線圈產生順向(或逆向)鏇轉磁場,並與轉子的磁鐵相互作用,如此就能使電機順時/逆時轉動。當電機轉子轉動到hall-sensor感應出另一組信號的位置時,控制部又再開啟下一組功率電晶體,如此循環電機就可以依同一方向繼續轉動直到控制部決定要電機轉子停止則關閉功率電晶體(或只開下臂功率電晶體);要電機轉子反向則功率電晶體開啟順序相反。基本上功率電晶體的開法可舉例如下:
ah、bl一組→ah、cl一組→bh、cl一組→bh、al一組→ch、al一組→ch、bl一組
但絕不能開成ah、al或bh、bl或ch、cl。此外因為電子零件總有開關的回響時間,所以功率電晶體在關與開的交錯時間要將零件的回響時間考慮進去,否則當上臂(或下臂)尚未完全關閉,下臂(或上臂)就已開啟,結果就造成上、下臂短路而使功率電晶體燒毀。
圖二
當電機轉動起來,控制部會再根據驅動器設定的速度及加/減速率所組成的命令(command)與hall-sensor信號變化的速度加以比對(或由軟體運算)再來決定由下一組(ah、bl或ah、cl或bh、cl或……)開關導通,以及導通時間長短。速度不夠則開長,速度過頭則減短,此部份工作就由pwm來完成。pwm是決定電機轉速快或慢的方式,如何產生這樣的pwm才是要達到較精準速度控制的核心。高轉速的速度控制必須考慮到系統的clock 解析度是否足以掌握處理軟體指令的時間,另外對於hall-sensor信號變化的資料存取方式也影響到處理器效能與判定正確性、實時性。至於低轉速的速度控制尤其是低速起動則因為回傳的hall-sensor信號變化變得更慢,怎樣擷取信號方式、處理時機以及根據電機特性適當配置控制參數值就顯得非常重要。或者速度回傳改變以encoder變化為參考,使信號解析度增加以期得到更佳的控制。電機能夠運轉順暢而且回響良好,p.i.d.控制的恰當與否也無法忽視。之前提到直流無刷電機是閉迴路控制,因此回授信號就等於是告訴控制部現在電機轉速距離目標速度還差多少,這就是誤差(error)。知道了誤差自然就要補償,方式有傳統的工程控制如p.i.d.控制。但控制的狀態及環境其實是複雜多變的,若要控制的堅固耐用則要考慮的因素恐怕不是傳統的工程控制能完全掌握,所以模糊控制、專家系統及神經網路也將被納入成為智慧型型p.i.d.控制的重要理論。
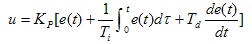
PID控制簡介
一般PID控制如下 :
Kp 控制(比例控制) :輸出與輸入誤差訊號成正比關係,即將誤差固定比例修正,但系統會有穩態誤差。
Ti 控制(積分控制) :當系統進入穩態有穩態誤差時,將誤差取時間的積分,即便誤差很小也能隨時間增加而加大,使穩態誤差減小直到為零。
Td 控制(微分控制):當系統在克服誤差時,其變化總是落後於誤差變化,表示系統存在較大慣性組件或(且)有滯後組件。微分即是預測誤差變化的趨勢以便提前作用避免被控量嚴重衝過頭。
電機驅動器的保護措施
對於驅動器還要有保護措施,當負載過大或不當使用時會造成大電流而將功率電晶體燒毀。為了保護因電流超過規格而破壞驅動器,一般會以加大功率電晶體耐電流或加電流sensor做為保護。其次當電機負載不小的時候,在停止轉動時由電機端回送至驅動器的能量及過電壓都將危及驅動器,這可配合過電壓保護電路加上回生能量消散電路來防治。其它尚有hall-sensor正常與否判定也會影響pwm控制的正確性,這可由控制部判斷並適時警告即可。
dc無刷電機系列控制疑難雜症處理案例
· 欲以電流值的大小來判斷目前電機的負載狀況是否有過載的跡象,該如何測量?
將電源線的其中一條拔起後,將電錶(請先調至安培檔)的一端接至驅動器的電源connector其中一接腳,另一端則接至電源插座的另一接腳,如此即可測量出在現階段的負載下所必須耗費的電流值,之後再依此電流值來對照電機的電流/扭力對照表,如此即可得知目前的負載狀況是正常或是 否有過載的情形發生。

