定義
疲勞裂紋擴展速率da/dN,是在疲勞載荷作用下,裂紋長度a隨循環周次N的變化率,反映裂紋擴展的快慢。
疲勞載荷:在工程上引起的疲勞破壞的應力或應變有時呈周期性變化,有時是隨機的。
疲勞裂紋:某些材料在連續交變應力作用下,會在其表面逐漸生成裂紋,並隨著作用時間而逐漸向縱深發展。使裂紋打一展,試件的力學性能下降,最終導致完全斷裂。應該指出,有些材料耐初始裂紋生長的性能很好,但一旦生成卻發展很快。而另一些材料就正好相反。
測定方法
曲線測定方法利用帶有預製疲勞裂紋的標準試樣,在給定載荷條件下進行恆幅疲勞裂紋擴展實驗,記錄裂紋擴展過程中的尺寸a和循環次數N,即可得到如下圖1所示的a~N曲線。a~N 曲線給出了裂紋長度隨載荷循環次數的變化。
圖1
疲勞裂紋擴展速率
疲勞裂紋擴展速率圖1中示出了應力比R=0時,三種不同恆幅載荷Ds作用下的a~N曲線。a~N曲線的斜率,就是裂紋擴展速率da/dN。注意到裂尖應力強度因子 , 是幾何修正因子。
疲勞裂紋擴展速率
疲勞裂紋擴展速率
疲勞裂紋擴展速率
疲勞裂紋擴展速率則由圖1中a~N曲線可知,對於給定的a,循環應力幅 增大,即 增大,則曲線斜率da/dN增大。對於給定的,裂紋長度a增大,即增大,則曲線斜率da/dN增大。
疲勞裂紋擴展速率故裂紋擴展速率da/dN的控制參量是應力強度因子幅度。
疲勞裂紋擴展速率
疲勞裂紋擴展速率
疲勞裂紋擴展速率
疲勞裂紋擴展速率
疲勞裂紋擴展速率
疲勞裂紋擴展速率由a~N曲線中任一裂紋尺寸 處的斜率,即可知其擴展速率(da/dN)i,同時,由已知載荷和,還可以計算相應的 。這樣就由a~N曲線得到了一組,[,(da/dN)i]數據,進而可繪出 曲線。
關係曲線
疲勞裂紋擴展速率
疲勞裂紋擴展速率
疲勞裂紋擴展速率曲線在雙對數坐標中畫出的曲線,如右圖2所示。圖中 曲線可分為低、中、高速率三個區域:
圖21區
疲勞裂紋擴展速率
疲勞裂紋擴展速率是低速率區。該區域內,隨著應力強度因子幅度 的降低,裂紋擴展速率迅速下降。到某一下限值時,裂紋擴展速率趨近於零(da/dN<10-10m/c)。
疲勞裂紋擴展速率若,則可以認為裂紋不發生擴展。
疲勞裂紋擴展速率
疲勞裂紋擴展速率是反映疲勞裂紋是否擴展的一個重要的材料參數,稱為疲勞裂紋擴展的門檻應力強度因子幅度:是曲線的下限。
疲勞裂紋擴展速率當時裂紋擴展較快,很快進入第二階段。在第一階段中,應力比、顯微組織、環境的影響很大。在裂紋擴展的第二階段,其擴展速率受應力比、組織類型和環境的影響很小。當過渡到第三階段,裂紋又加速擴展,當Kmax達到K1c(斷裂韌度)時試樣就斷裂了。這一階段受應力比、組織和斷裂韌性的影響較大。
研究疲勞裂紋門檻值在理論上和實際工程套用上都是有意義的。十分明顯,一般的機械零件和工程構件是不會以來作為設計指標的。因為數值很低,如以來作為設計標準,這無疑是要求工作應力很低或者容許的裂紋尺寸很小。疲勞門檻值除了因應力比R的增加而減小外,還和組織有關。
2區
疲勞裂紋擴展速率
疲勞裂紋擴展速率
疲勞裂紋擴展速率是中速率裂紋擴展區。此時,裂紋擴展速率一般在 - m/c範圍內。大量的實驗研究表明:中速率區內, 有良好的對數線性關係。利用這一關係進行疲勞裂紋擴展壽命預測,是疲勞裂紋擴展研究的重點。
3區
疲勞裂紋擴展速率
疲勞裂紋擴展速率為高速率區,在這一區域內,da/dN大,裂紋擴展快,壽命短。其對裂紋擴展壽命的貢獻,通常可以不考慮。此區域的上限為 ,是由斷裂判據 給出的。
比較
疲勞裂紋擴展速率
疲勞裂紋擴展速率曲線與S-N曲線(疲勞曲線)一樣,都表示了材料的疲勞性能;只不過S-N曲線所描述的是疲勞裂紋萌生性能, 曲線描述的是疲勞裂紋擴展性能而已。值得指出的是:
S-N曲線以R=-1(對稱循環)時的曲線作為基本曲線。
疲勞裂紋擴展速率曲線則是以R=0(脈衝循環)時的曲線作為基本曲線的。
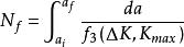
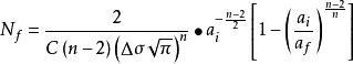
公式及推導
疲勞裂紋擴展速率設 ,
疲勞裂紋擴展速率則 ,
Y——幾何因子或形狀因子;△k——應力強度因子變程。
疲勞裂紋擴展速率Pairs建議: ,
疲勞裂紋擴展速率
疲勞裂紋擴展速率
疲勞裂紋擴展速率有 或 或 ,
疲勞裂紋擴展速率得 。
圖3.裂紋擴展影響因素
疲勞裂紋擴展速率
疲勞裂紋擴展速率
疲勞裂紋擴展速率
疲勞裂紋擴展速率
疲勞裂紋擴展速率對於恆定載荷, 和 都是a的函式。 ,其中 ——初始裂紋長度; ——斷裂時裂紋長度。
疲勞裂紋擴展速率
疲勞裂紋擴展速率
疲勞裂紋擴展速率
疲勞裂紋擴展速率對於Griffith裂紋:。當 時,對 起作用的主要在於 ,應儘可能小。
預防措施
(1)結構設計缺陷(過大的截面變化、過小的圓角半徑等)、表面加工質量缺陷(如表面粗糙度過大、表面刀痕、磨削裂紋、劃傷;熱處理中缺陷如淬火裂紋、滲碳和氮化等表面出現網狀組織等)都加速疲勞磨損,導致疲勞失效。因此改善零件結構,避免應力集中。如採取圓角過渡;加大軸肩的圓角半徑均可將這些區域的峰值應力降下來,可有效的防止應力集中,提高其疲勞強度,軸類零件的表面或表層受力集中,是最容易產生裂紋的部位,所以採取表面強化的方法,如提高零件的表面質量,對零件進行噴丸處理、表面淬火等可提高零件的表層力學性能,提高疲勞強度。
(2)在金屬材料中加入合金元素,提高材料的疲勞強度,大大延長材料的使用壽命。
(3)對在腐蝕性環境工作的機械零件進行處理,避免產生腐蝕疲勞。如加入合金元素,防止產生晶間腐蝕。
(4)對零件、構件進行定期檢測(用超音波和X光檢測能夠發現細小裂紋),防範於未然。
(5)材料表層內部組織缺陷、表層材料的內部缺陷,如夾雜、氣孔、鍛造夾層以及各種微裂紋,常由此作為裂紋源而導致疲勞失效,所以應提高金屬材料質量。

