簡介
當地聲速是空氣動力學和流體力學的概念。當地聲速是聲速相對於滯止聲速而言時的稱謂。不同的氣體有不同的當地聲速,如在常壓下,15℃的空氣中是340m/s,而在同等壓力和溫度下,氫氣中的當地聲速為1295m/s。
同一氣體的當地音速也不是固定不變的,它與氣體的絕熱溫度平方根成正比。如常壓下空氣中音速=20.1√T。
滯止音速
氣流某斷面的流速,構想以無摩擦絕熱過程降低至零時,斷面上的聲速。
計算公式
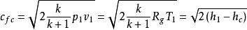
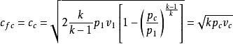
微弱擾動產生的壓力波在連續介質中傳播的速度,用符號c表示。
對氣體或蒸汽的定熵流動,有
當地聲速推導出,對理想氣體的定熵過程;有
當地聲速顯然,聲速通常是指當地聲速,它取決於氣體的性質及所處的狀態。
k——絕熱指數,空氣k=1.4
Rg——氣體常數,空氣R=287J/(kg·K)
T——熱力學溫度
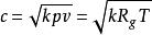
假想某斷面的流速,構想以無摩擦絕熱過程降低至零時,斷面各參數所達到的值,稱為氣流在該斷面的滯止參數。滯止參數以下標“0”表示。例如P、ρ、T、等相應的稱為滯止壓強、滯止密度、滯止溫度。
則滯止音速
當地聲速在馬赫數中
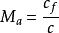
同時,流體的流動速度c和當地聲速c的比值,用符號Ma表示 。
當地聲速根據馬赫數的大小可將氣體和蒸汽的流動分為:
當地聲速亞聲速:;
當地聲速聲速:;
當地聲速超聲速:;
在臨界流速中
在漸縮漸擴噴管的喉部(最小截面處),Ma=1,此時,臨界流速c等於當地聲速。
當地聲速
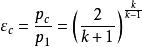
當地聲速適用定比熱容的理想氣體定熵流動過程,其中為臨界壓力比。
當地聲速適用於任何工質的可逆和不可逆絕熱穩定流動過程。
