基本內容
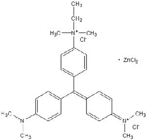
甲基綠化學式:CHBrClN·ZnCl
IUPAC命名:4[4-(dimethylamino)phenyl][4-(dimethyliminio)cyclohexa-2,5-dienylidene]methylN-ethyl-N,N-dimethylbenzenaminium dichloride compound with zinc(II) chloride
系統命名法:氯化鋅(Ⅱ)合二氯化4-[4-(二甲氨基)苯基][4-(二甲亞胺)環己-2,5- 二乙烯基]甲基-N-乙基-N,N-二甲基苯胺
性質
甲基綠甲基綠是具有金屬光澤的綠色微結晶或亮綠色粉末。溶於水(20℃下70 g/L ),顯藍綠色。稍溶於乙醇,不溶於戊醇。
鹽酸中顯紅黃色,在氫氧化鈉中無色。試劑溶液在可見光區有吸收峰(λmax=633.8nm)。
與ReO、HgCl、BiCI、AuCl和GaCl等形成離子締合物。
用於光度法測定Hg、ReO等,定性檢出鐵氰化物,酸鹼指示劑和細胞染色劑。
甲基綠為鹼性染料,它易與聚合程度高的DNA結合呈現綠色。
染色劑
方法
用吡羅紅
粉劑與甲基綠粉劑各適量,加入蒸餾水後可以配成吡羅紅甲基綠染色劑。
注意
該染色劑配置完畢後要放入棕色瓶中備用。
用途
又稱雙綠SF。綠色晶體,具金黃色光澤,或淡綠色粉末。溶於水,呈藍綠色。微溶於乙醇,不溶於乙醚。
由氯乙烷與甲基紫(C.I.鹼性紫1)反應製得。
商品通常為鋅復鹽C26H33N3Cl2·ZnCl2(稱C.I.鹼性藍20)。
用於細菌染色(新鮮標本細胞核染色)甲基綠-鹽酸混合物用於鑑定精子、淋球菌和肥大細胞染色。
甲基綠可用於鑑定DNA。DNA遇甲基綠(常溫)會被染成藍綠色。

