概要
國標編號 61874
CAS號 867-27-6
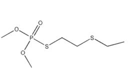
中文名稱 甲基內吸磷
別名 滅賜松、O,O-二甲基-O-(2-乙硫基乙基)硫代磷酸酯、甲基一0五九、硫趕磷酸、O,O-二甲基-O-(2-乙硫基乙基)酯、O,O-二甲基-O-{2-(乙硫基)乙基}硫逐磷酸酯、甲基內吸磷溶液、100PPM
英文名稱 Demeton methyl
CAS號: 867-27-6
分子式: C6H15O3PS2
分子量: 230.285261
EINECS號: 212-758-1
理論數據
分子結構數據
1、 摩爾折射率:56.20
2、 摩爾體積(cm3/mol):192.3
3、 等張比容(90.2K):483.6
4、 表面張力(dyne/cm):39.9
5、 介電常數(F/m):
6、 偶極距(D):
7、 極化率(10-24cm3):22.28
計算化學數據
1.疏水參數計算參考值(XlogP):無
2.氫鍵供體數量:0
3.氫鍵受體數量:5
4.可旋轉化學鍵數量:7
5.互變異構體數量:無
6.拓撲分子極性表面積86.1
7.重原子數量:12
8.表面電荷:0
9.複雜度:146
10.同位素原子數量:0
11.確定原子立構中心數量:0
12.不確定原子立構中心數量:0
13.確定化學鍵立構中心數量:0
14.不確定化學鍵立構中心數量:0
15.共價鍵單元數量:1
性質與穩定性
可燃, 燃燒時分解有毒氮氧化物, 磷氧化物, 硫氧化物氣體
貯存方法
庫房低溫, 通風, 乾燥; 與食品原料分開存放
用途
產物為Ⅰ和Ⅱ(約為6:4)兩種異構體的混合物。LD5065mg/kg。20世紀50年代開發成功的著名有機磷內吸殺蟲劑,可用二甲氧基硫代磷醯氯與2-羥基乙硫醚反應製取。
對環境的影響
健康危害
侵入途徑:吸入、食入、經皮吸收。
健康危害:本品為高毒有機磷殺蟲劑。抑制膽鹼酯酶活性。中毒養病有頭痛、頭暈、乏力、噁心嘔吐、腹痛、流涎、多汗、視力模糊、瞳孔縮小,肌束震顫,甚至肺水腫、昏迷等。
毒理學資料
毒性:屬中等毒類。有麻醉作用,對膽鹼酯酶活性有抑制作用。
急性毒性:LD50 50~75mg/kg(大鼠經口);300~450mg/kg(大鼠經皮)
危險特性:遇明火、高熱可燃。受高熱分解產生有毒的腐蝕性煙氣。
燃燒(分解)產物:一氧化碳、二氧化碳、氧化硫、氧化磷。
實驗室監測
酶-氧化鐵比色法《空氣中有害物質的測定方法》(第二版),杭士平主編
環境標準
中國(TJ36-79) 車間空氣中有害物質最高容許濃度 0.2mg/m3(皮膚)
前蘇聯(1977) 居民區大氣中最高容許濃度 0.001mg/m3(日均值)
0.005mg/m3(一次值)
前蘇聯(1974) 飲用水中最高容許濃度 0.01mg/L
應急處置方法
泄漏應急處理
疏散泄漏污染區人員至安全區,禁止無關人員進入污染區,建議應急處理人員戴自給式呼吸器,穿化學防護服。噴霧狀水,減少蒸發。不要直接接觸泄漏物,用砂土或其它不燃性吸附劑混合吸收,收集倒至空曠地方深埋。被污染地面用肥皂或洗滌劑刷洗,經稀釋的污水放入廢水系統。如果大量泄漏,小心掃起,裝入備用袋中。
防護措施
呼吸系統防護:可能接觸其蒸氣時,佩戴防毒面具。空氣中濃度較高時,應該佩戴自給式呼吸器。
眼睛防護:戴化學安全防護眼鏡。
身體防護:穿相應的防護服。
手防護:戴防化學品手套。
其它:工作現場禁止吸菸、進食和飲水。工作後,淋浴更衣。工作服不要帶到非作業場所,單獨存放被毒物污染的衣服,洗後再用。保持良好的衛生習慣。
急救措施
皮膚接觸:用肥皂水及清水徹底沖洗。就醫。
眼睛接觸:拉開眼瞼,用流動清水沖洗15分鐘。就醫。
吸入:脫離現場至空氣新鮮處。就醫。合併使用阿托品及復能劑(氯磷定、解磷定)。
食入:誤服者,飲適量溫水,催吐。洗胃。合併使用阿托品及復能劑(氯磷定、解磷定)。
滅火方法:泡沫、乾粉、砂土。

