生產指數
正文
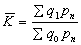
反映產品產量增減變動方向和幅度的一種動態指標。它可以用來研究一種產品或多種產品的產量變動。反映一種產品產量變動用個體指數,反映多種產品的產量變動則用綜合指數或加權算術平均指數。綜合指數的計算方法是:

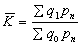
加權算術平均指數是以個體指數k為變數,用加權平均法求得的生產指數噖。其計算方法是:

權數的選擇,在於使總指數能夠體現出各種產品在總產品中的地位,可根據不同的研究目的和資料條件而定。因此,根據研究的需要,凡能夠起到這個作用的指標都可用來作為權數,如各種產品的價值量、勞動消耗量、從業人數等都曾被用來作為生產指數的權數。由於產品的價值量最能夠在大範圍內使用並且比較易於取得資料,因此各國多用產品的價值量作為權數,如用總產值、銷售值、淨產值、增加值等。選用權數的時期,有基期結構、報告期結構和固定結構幾種,分別反映按各該時期產品結構生產時產品的平均增長速度。確定權數的工作量很大,不少國家採用在一段時期內(如五年)的不變權數。

