提出原因
土與結構物之間接觸面性狀的準確模擬對合理準確地分析土與結構的共同作用有重要影響。很多實際工程設計中需要考慮接觸面、土與結構相互作用的問題,如面板堆石壩中的面板與碎石墊層、樁及混凝土防滲牆等與地基土之間。國內外關於接觸面的研究很多,已取得了不少研究成果。鑽孔灌注樁和混凝土防滲牆的施工廣泛採用泥漿護壁的工藝,這種工藝在護壁的同時也常常在孔壁上殘留泥漿套層——泥皮,泥皮的存在改變了土-結構相互作用的性狀。因此,有關泥皮的變形及強度的性質近年來有些研究,但仍不成熟。
早期的接觸面研究多用直剪儀。該儀器不僅使得接觸面附近的土體應力不均,而且其變形條件與實際情況出入較大。因此,近年來,利用單剪試驗進行接觸面應力變形-強度特性的研究較多。單剪試驗中土體變形條件與實際比較接近,但接觸面上的應力分布仍不均勻,尤其在剪下變形較大時。相比之下,環剪試驗能夠保持接觸面上應力均勻。
試驗簡介
環剪試驗是扭轉剪下試驗中的一種,特點之一是可以研究大變形下土體的抗剪能力。國外對此方面研究進行得較早,Hvorslev指出,只有扭轉剪下方法可以滿意地測定土的殘餘強度 。殘餘強度反映的是土體內部發生剪損後剪下面上殘留的剪應力值,研究殘餘強度的目的便是探求土體遭受破壞後強度衰減的變化規律,也就是研究大應變條件下強度降低的問題。Skempton 指出,一旦滑動面形成,不論何種類型的土其強度都由殘餘強度控制。由此可見,殘餘強度體現了大變形下土的工程性質。洪勇等 在回顧國內外有關土工環剪儀研發及其套用研究工作的基礎上指出,環剪試驗可以研究土在大剪下位移下的軟化變形模式與強度衰減模式。孫濤等 通過環剪儀對超固結黏土的抗剪強度進行了研究,為國內環剪試驗研究提供了借鑑,但其重點在土的峰值強度和殘餘強度特性,並未在試驗中測得抗剪強度指標。此外,楊有蓮 利用環剪儀對不同土與混凝土接觸面的力學特性進行了研究,證明環剪試驗是分析量測接觸界面殘餘強度的有效試驗方法之一。
利用環剪儀的試驗特點,可以研究土體在較大剪下位移下抗剪強度的變化規律。通過對殘積土殘餘和峰值強度的環剪試驗測定和對試驗數據的整理與對比分析,得到了含水率與殘餘強度指標之間的關係,證明大變形下殘積土具有浸水軟化的特性;從應變閾值角度分析了殘積土應變軟化的性質,不同剪下位移下的殘積土具有不同的抗剪強度,所研究的殘積土達到峰值強度對應的應變介於0.02~0.06之間,而到達基本穩定的殘餘強度所需要的應變介於0.06~0.20區域內。研究還發現,礦物成分不同直接影響到殘積土的殘餘強度,是殘積土不均勻性的內部因素。
試驗土樣
試驗土樣為福建漳州某邊坡詳勘鑽孔取樣。該地區風化劇烈,颱風暴雨活動頻繁,覆蓋層厚,由1~3m坡積黏土和12~20m凝灰質砂岩殘積黏性土組成。試驗共分6組,土樣分別取自滑坡處6個不同位置的勘察鑽孔。將每個鑽孔取出的原狀土土樣分為4個試樣進行環剪試驗,然後將試驗過後的廢土製成1個重塑土試樣進行環剪試驗,每組由4個原狀土試樣和1個重塑土試樣組成。與直剪試驗不同的是,環剪試驗可以用一個試樣完成幾種正應力下的剪下試驗,故本次試驗可以獲得6組共30個試件的試驗數據。各組試樣及試驗的基本信息列於表1。其中,第4組土樣明顯與其他組土樣顏色不同,呈褐紅色。
試驗儀器
環剪儀,主要由試樣容器、機架部件、單槓桿式法向加荷部件、變速部件和扭矩、荷載傳力部件等部件組成。其中變速部件由兩台具有多級變速功能的變速箱組成。兩台變速箱可組合成45種轉速,適應多種試驗的要求,最終所能提供的剪下速率在3×10 ~2.1×10 r/min之間。
儀器所採用試樣的外徑為100mm,內徑為60mm,高為20mm。試樣的面積為5027mm2,平均直徑a=81.7mm。對試樣所能施加的最大法向應力為900kPa,扭矩感測器所能測量的扭矩最大值為300N·m。
與傳統反覆直剪儀相比,該設備的明顯優勢是在剪下過程中可以在一個方向進行連續剪下,並且剪下面積固定不變,還可施加較大的荷載(最大法向應力和水平荷載均為1000kPa),可研究大變形條件下的強度降低問題等優點。因此,環剪儀是研究殘餘強度較好的儀器。
試驗步驟
用薄壁環刀切取高為20mm的實心試樣,稱量並計算其天然重度。將環刀及試樣裝入相配的容器內,再用小直徑環刀切除中心部分,即得環狀試樣。在切除過程中可將小直徑環刀旋轉地推進,這樣可以使試樣所受擾動降到最小。切除部分可用來測定土樣的含水率。
將製作好的試樣放入環剪盒中,施加法向應力固結土樣。待固結完成後,調整上、下環之間的開縫寬度(0.025~0.05mm),選好變速箱的檔位,開始扭轉剪下。從試樣剪下開始直至得到一個穩定的殘餘強度值,期間應使機器持續運轉。每個試樣均採用4級載入,以便通過試驗數據的擬合得到土的殘餘強度指標,每級載入之前都應使試樣固結。應當注意的是,每級載入須使扭轉剪下方向與之前的方向相同。
除對原狀土進行環剪試驗,還將對試驗後廢土所製備成的重塑土進行環剪試驗。重塑土樣是經過烘乾、研磨後,兌以一定質量的水,以便達到與原狀土相似的含水率,並且至少需要12h的時間讓水與土進行充分作用而製備成的,其固結與剪下過程與原狀土一致。
計算公式
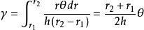
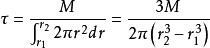
環剪試驗是一種空心扭剪試驗,不僅可以保持剪下面積恆定不變,而且可以研究大變形下土體的抗剪能力,更重要的是可以充分克服實心扭剪試驗中剪下面上正應力和剪應力分布不均的現象,因此,可假定環剪試驗中剪下面上正應力和剪應力是均勻分布的。環剪試驗的直接成果為一系列的扭矩M和角位移θ,根據假定及公式推導可得到剪應力τ和剪應變γ的計算公式:
環剪試驗
環剪試驗 式中:r和r為空心圓環的內徑和外徑;h為試樣的高度。環剪試驗中剪下面上不同半徑點的剪下位移是不同的,考慮到剪下面內徑和外徑較為接近,可通過平均剪下位移來表示環剪試驗中的剪下位移。
試驗結果與分析
環剪試驗 6組試樣環剪試驗的分級載入大小、順序與試驗過程完全一致,使得每組試驗成果之間具有良好的對比性。第5組試驗成果如圖1所示,其餘各組與此組相似。
從圖1不難看出:①在每級荷載下,當發生較大剪下位移後,殘餘強度趨於定值,此時剪下面上土的結構已遭到破壞,持續的扭剪使得剪下面上的土顆粒發生定向排列,形成穩定的抗剪強度;②每級載入固結後,都會使初始一段時間記憶體在一較明顯的峰值強度,隨位移的增加,強度逐漸降低並趨於常量,表明分級載入固結會使剪下面上土體發生重新黏結,固結使土體強度有所恢復;③在相同的正應力下,原狀土與重塑土的殘餘強度基本一致,但原狀土的峰值強度略大於重塑土,且重塑土樣先於原狀土樣到達殘餘強度。

